摘要:地表温度对研究全球资源环境和气候变化有着关键性的作用,同时它又是研究城市热环境、全球气候、土地利用等的重要因素.由于其对城市生态环境和城市整体生存能力的不利影响,城市热岛与城市景观格局之间的关系已经成为热点研究课题.本文利用兰州市2017年夏季Landsat8遥感影像,基于AdaBoost的算法提取了土地利用信息,地表温度通过辐射传导方程法来反演.采用回归分析和空间自相关分析方法,探讨不透水面和植被覆盖与地表温度之间的定量关系;使用最小二乘法回归方法模型对比得到不同城市景观格局对地表温度的影响.结果显示:兰州市地表温度从西北到东南逐渐升高,中部地区低于南北两山的温度;城市不透水面温度显著高于植被覆盖区域,城市地表温度介于18.45-45.34℃;城市热岛效应明显;兰州市不透水面与地表温度呈现正相关关系,植被覆盖与地表温度呈现负相关关系;适当减少兰州市不透水面面积,加大不透水面的破碎程度,在一定程度上,能更有效降低城市区域的地表温度;通过增加兰州市植被多样性和密集度,可以有效缓解兰州市热岛效应.
加入收藏
研究全球资源环境和气候变化问题,地表温度的重要性不言而喻.诸如城市热环境、全球气候、土地利用等课题,都离不开地表温度这一至关重要的因素.城市热岛效应,表现为城市四周农村地区温度明显低于城市温度[1],形成类似高温孤岛的现象,这是城市化进程达到一定程度时的必然现象.城市热岛的出现,使得城市能源消耗增加,硫化物,碳氧化物、氮氧化物等空气污染物的排放量大大上升,其对人体的伤害也不容小觑.城市下垫面的性质、人工热源的增加、水气影响、空气污染、城市景观格局的变化、绿地减少、人口迁徙等,都是造成热岛效应不容忽视因素[2].已有大量研究证明,土地利用组成及其空间格局会对地表温度产生影响.个别土地利用/覆盖类型对温度的影响研究,是目前研究最为普遍的方向,张震[3]通过主成分分析方法和相关分析方法,研究了青岛市下垫面、土地利用驱动因子和社会经济对地表温度产生的影响;李琳[4]结合了回归分析方法,主成分分析方法和相关分析方法,得到与成都市地表温度呈现正相关的景观格局类型是不透水面,与地表温度呈现负相关的景观格局类型是植被,而水体与地表温度呈现微弱负相关关系.但是定量化分析景观格局与地表温度之间的关系,应加以提高.邹婧[5]等通过研究土地利用类型与结构和地表热环境之间的关系,定量地探讨了深圳市景观格局与地表温度之间的关系.王雪[2]等利用最小二乘法和地理加权回归方法,分析北京市景观格局对地表温度的影响.
研究城市景观格局与地表温度的定量关系,有利于合理规划城市土地资源,缓解城市热岛效应,为城市规划与发展提供科学的指导.作为西部地区重要的中心城市之一,兰州市的城市化步伐越来越快,由此引发的生态环境问题也日益增加.因此,土地利用与景观格局的变化导致的生态环境问题阻碍了兰州市社会经济的发展.本文以兰州市为研究区域,使用2017年夏季Landsat8影像,定量地研究了不透水面和植被覆盖与地表温度的关系,并从景观角度出发,探讨兰州市景观类型空间格局和组成与地表温度空间分布之间的关系,旨在为兰州市城市生态改善以及合理规划城市布局提供科学支持.
1、研究区概况
兰州市位于甘肃省中部,东经102°36′-104°34′,北纬35°35′-37°7′之间[6].土地总面积为13085.6km2,区域内地貌复杂多样,山地、高原、平川、河谷、沙漠、戈壁,类型齐全,交错分布,地势自西南向东北倾斜,有着两山夹一河的特点,地形呈狭长型[7].受兰州市自身地势高差的悬殊和复杂的地形的影响,兰州市局部气候差异性较大:兰州市的西侧、南侧均是石质山,属于温寒带湿润地区,海拔较高,年平均气温只有20-50℃,年降水量仅为500mm,其中北侧和东北地区平均气温在60℃左右,年平均降水量小于250mm,属于温凉带干旱区.兰州市中心城市地带属于温带半干旱地区,平均气温在11.20℃左右[8].
年平均日照时数为2446h,无霜期为180d[9].随着兰州市社会经济的发展,兰州市土地利用发生了巨大变化,城市热岛效应也越来越显著.
2、研究数据与方法
2.1数据来源
本实验选用美国陆地卫星Landsat8OLI/TIRS影像数据(数据来源:USGSEarthExplorer)作为地表温度反演和土地利用/覆盖分类的基础数据.影像选取时间为2017年8月3日,轨道号为131-35,研究区范围内云量覆盖为0.使用1∶200000兰州市土地利用总体规划图辅助进行土地利用/覆盖分类.并对原始影像进行辐射校正、研究区域裁剪等预处理.
2.2研究方法
2.2.1地表温度反演
文章采用辐射传导方程法反演地表温度[10].根据辐射传导方程法反演地表温度Ts的表达式为:
式中,K1、K2为传感器的定标常数,在LandsatOLI的取值分别为K1=774.89W/(m2*μm*sr),K2=1321.08K;B(Ts)为温度Ts的黑体辐射亮度,计算公式如下:
式中,τ为大气透过率,L↑为大气上行辐射,L↓为大气下行辐射;这三个参数值可通过美国航天航空局官网(https://atmcorr.gsfc.nasa.gov)输入相关参数查询;Lλ为传感器接收到热红外光谱辐射亮度;ε为地表比辐射率.
使用NDVI阈值法可计算地表比辐射率ε[11]:
ε=0.004PV+0.986
式中,PV是植被覆盖度,采用像元二分法计算.原理如下:
式中,NDVIsoil为裸土覆盖区域的NDVI值;NDVIveg代表完全植被覆盖区域的NDVI值;NDVI为归一化植被指数,根据下式计算:
NDVI=NIR−RNIR+R
式中,NIR和R分别为Landsat8影像的近红外波段和红波段.
统计计算完的NDVI值,NDVIsoil和NDVIveg分别取为NDVI累计5%和95%的像元值.
2.2.2基于AdaBoost算法的土地类型/覆盖提取
遥感影像分类,通常情况下属于多分类问题范畴.首先,AdaBoost赋予每个样本相同的权重,即样本被选择为基分类器的概率.此后,进行加权抽样,于样本集中提取训练样本,生成弱分类器,对样本总体进行弱分类,得到当前分类器的误差.利用误差计算各样本权重,这样便可提升错误分类样本权重;按此法,可在之后迭代过程中,再次集中选择更多,容易被错误分类的样本.同时,新生成的分类器也将对这些样本给予更多关注.这一系列的弱分类器,便是基于类似多次迭代过程形成的.这些弱分类器对未知实体进行分类,并最终利用加权投票的方式,集成所有分类结果[12].AdaBoost有很多不同的基分类算法,在AdaBoost中,不同地物通过迭代次数的改变,而影响其分类的精度.
本实验采用基于AdaBoost算法的分类系统,把土地分为:林地、其他植被(包括园地、农用地、草地等)、其他用地(包括自然保留地、滩涂等)、不透水面和水体5种类型.
2.2.3相关分析
相关分析的任务,就是揭示地理要素之间相互关系的密切程度[13].地理要素之间相互关系密切程度的测定,主要是通过对相关系数的计算与检验来完成的,两个地理要素间相关关系的计算方式为:
式中,rxy为要素x与y之间的相关关系系数,其值介于[-1,1]之间,是表示两要素之间的相关程度的统计指标.rxy>0,表示正相关,rxy<0,表示负相关,rxy的绝对值越接近于1,表示两要素的关系越密切.
2.2.4回归分析
作为一种分析变量关系的强有力的工具,回归分析通过建立的回归模型来反映地理要素间的具体数量关系[14].回归模型有线性与非线性两种.一元线性回归模型因变量与自变量单一对应.假设有两个地理要素(变量)x和y,x为自变量,y为因变量.则一元线性回归模型的基本结构形式为:
ya=a+bx+εa
本文通过回归分析定量研究兰州市不透水面、植被覆盖与地表温度的关系,并建立它们之间关系的回归方程.
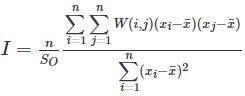
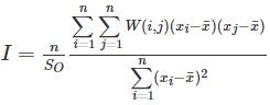
2.2.5空间自相关分析
空间自相关分析是为了确定地理要素之间在空间上的相关性[15].空间自相关系数可以用来定量地描述地理要素在空间上的依存程度,其计算公式为:
式中,xi为观测值,x¯为xi的平均值,SO=∑i=1n∑j=1nW(i,j),W(i,j)为i,j之间的空间链接矩阵.如果地理要素之间随着测定距离的缩小而变得相似,则它们呈空间正相关关系;如果地理要素之间随着测定距离的缩小而存在明显的差异,则它们呈空间负相关关系.
2.2.6景观格局指数
景观格局指数属于定量分析因素,用以反映景观格局信息[16].本文结合研究区域景观特点和空间特性,选取了8个景观格局指标研究兰州市土地利用格局.景观格局指数通过Fragstats4.2软件计算得到,如表1示:
表1景观格局指数
3、兰州市景观格局与地表温度的关系研究
3.1不同土地类型之间温度比较
表2不同土地利用类型的地表温度分布图
表2是兰州市2017年土地利用/覆盖类型的地表温度统计值.通过对比均值可以发现,2017年研究区地表温度序列为:其他用地>不透水面>其他植被>水体>林地.其他用地、不透水面的平均地表温度在5种土地利用类型中排名靠前.其他植被里包含有大量的草地、农用地、花园等土地类型,所以其平均地表温度比较高.兰州山地面积占全市面积的85%,连续的大面积裸土地直接导致了其他用地温度过高.林地的地表温度是所有土地利用类型中最低的,其次是水体.
对比土地利用类型的地表温度的标准差,其顺序为:其他用地>林地>其他植被>水体>不透水面.不透水面地表温度的标准差最低,主要原因是因为兰州市城镇大多处在地势平坦的地区,建筑集中且分布均匀.黄河是兰州市的主要水域,水质差异小,均一性比较大,所以水体的标准差相对于其他地区比较小.其他用地是所有土地利用类型中标准差最大的,这主要是因为其他用地里包含了裸土地、处在城镇中的未利用地等,其跨度比较大.兰州地区的林地主要集中在东南地区,其余地区林地稀疏、密度小,林地分布不均衡.
3.2不透水面与地表温度的关系
将不透水面与地表温度进行回归分析,二者的分析结果如图1所示.
图1研究区不透水面与地表温度关系
图2研究区植被覆盖与地表温度关系
由图1可以发现,研究区不透水面与地表温度之间有着显著的线性正相关关系,随着不透水面程度的加深,地表温度也呈现明显的上升趋势.这就表明,不透水面可以增加地表温度,不透水面区域越多的地方,地表温度也就越高.因而,不透水面的扩展会导致城市热岛效应加剧.
3.3植被覆盖与地表温度的关系
将植被覆盖与地表温度进行回归分析,二者的分析结果如图2所示.
由图2可以看出,植被覆盖与地表温度呈现显著的线性负相关关系,植被覆盖度越好,地表温度越低.这说明植被具有降低地表温度的作用,由于城镇用地密度大的地方,植被密度小、种类少,造成了地表温度增加.植被种类多而密集区域,温度比较低.植被对于减缓城市地表温度作用明显.
3.4空间自相关分析结果
本文通过GeoDa空间分析软件,使用全局空间自相关模型统计检验地表温度与植被覆盖和不透水面二者分布的空间自相关性.空间自相关系数Moran'sI见表3.
表3Moran'sI系数
Moran'sI系数显示,兰州市地表温度与植被覆盖和不透水面的分布均呈现空间正自相关.相对而言,不透水面分布的空间聚集性要强于植被覆盖.
3.5最小二乘法回归模型分析结果
本实验主要通过SPSS软件,以5类土地利用类型为自变量,温度为因变量,为每个景观格局指数建立OLS模型.表4为5类土地利用类型与地表温度的拟合优度.
表4土地利用类型与地表温度的拟合优度
在OLS模型中,景观格局指数CA对地表温度解释率为60.8%,这就说明地表温度受不同土地利用类型面积大小的影响.景观格局指数LPI、AREA_MN对地表温度解释率分别为63.2%、60.8%,LPI代表最大斑块占景观面积的比例,说明某种土地类型越集中,对温度的影响越大.而AREA_MN表示的是景观的破碎程度,AREA_MN越大,温度就越高.ED对温度的影响程度一般,其他指数的R2和调整R2相对较小.
4、结论
本文得到的结论有以下三点:
(1)兰州市的林地主要集中在东南地区,而西北地区多为黄土裸地,中间过渡区域多为裸地、草地、耕地、城镇等用地.在空间格局上,兰州市有着两山夹一河的特点.所以研究区内的地表温度呈现出南北两山温度高于城市中部区域,西北地区温度略高于东南地区的特点.研究区最高温度为45.34℃.不透水面密集的区域,温度普遍比较高,温度高值区主要分布在兰州市北山的区域.最低地表温度为18.45℃.林地和水域分布广泛均一区域地表温度相对较低.总的来看,城市与郊区温差显著,城市地区存在着大面积岛屿状高温区域,热岛效应明显.由于不透水面对太阳辐射的反射率小,可以吸收更多的太阳辐射,导致温度升高.而城镇地区人口密度大,建筑密集,产生的人为热量对热岛的形成有促进的作用.
(2)兰州市不透水面和植被覆盖与地表温度的分布呈不同程度的空间相关性,表现出一定的聚集分布状态.不透水面与地表温度的拟合优度为63%,植被覆盖与地表温度的拟合优度为59%,说明不透水面和植被覆盖与地表温度的相关性比较高,不透水面与地表温度呈现正相关关系,植被覆盖与地表温度呈现负相关关系.
(3)在OLS模型中,共有4种景观格局指数与地表温度得到了比较好的拟合效果.LPI对确定景观的优势类型有一定的促进作用,CA制约着景观内物种的丰度、优势等.由于兰州市市区集中在东南地区,所以兰州市的不透水面主要集中在东南地区,兰州市林地主要分布在东南地区,其他用地(裸地、黄土地等)主要分布在南北两山,黄河是兰州市的主要水体.所以LPI和CA越大,对温度的影响就越大.AREA_MN反映兰州市不同景观格局的破碎程度,一般情况下,AREA_MN越大,温度就越高.兰州市的地表温度受景观破碎度、斑块面积等的影响较高.因此,减少不透水面面积,加大不透水面的破碎程度,在一定程度上,可以缓解城市热岛效应.提高兰州市绿化程度,能更有效降低城市区域的地表温度.兰州市植被聚集地多为低温区,所以,通过增加兰州市植被面积,丰富植被类型,增加植被多样性和密集度,可以有效缓解兰州市热岛效应.
参考文献:
[1]徐双,李飞雪,张卢奔,等.长沙市热力景观空间格局演变分析[J].生态学报,2015,35(11):3743-3754.
[2]王雪,于德永,曹茜,等.城市景观格局与地表温度的定量关系分析[J].北京师范大学学报(自然科学版),2017,53(03):329-336.
[3]张震.滨海城市化地区热岛效应的遥感分析研究[D].青岛:中国海洋大学,2013.
[4]李琳.成都市城市地表景观格局变化的热环境效应研究[D].成都:四川师范大学,2016.
[5]邹婧,曾辉.城市地表热环境与景观格局的关系——以深圳市为例[J].北京大学学报(自然科学版),2017,53(03):436-444.
[6]贾珍珍.近25年兰州市热岛效应时空变化及其影响因素[D].兰州:兰州大学,2016.
[7]李虹.基于RS和GIS的兰州市城镇化时空过程研究[D].兰州:兰州大学,2018.
[8]尹柯柯.基于Landsat8遥感影像的兰州市城市热岛特征研究[D].兰州交通大学,2017.
[9]孟彩红.基于GIS的兰州城市景观研究[D].兰州:兰州大学,2008.
[10]宋挺,段峥,刘军志,等.Landsat8数据地表温度反演算法对比[J].遥感学报,2015,19(03):451-464.
[11]岳辉,刘英.基于Landsat8TIRS的地表温度反演算法对比分析[J].科学技术与工程,2018,18(20):200-205.
[13]赵鹏,夏北成,秦建桥,等.流域景观格局与河流水质的多变量相关分析[J].生态学报,2012,32(08):2331-2341.
[14]张菁,马民涛,王江萍.回归分析方法在环境领域中的应用评述[J].环境科技,2008,21(S2):40-43.
[15]高建岗,黄锐.基于耕地质量指数和空间自相关的苏南地区耕地保护分区[J].水土保持研究,2019,26(03):213-218.
郝嘉楠,高泽阳.城市景观格局与地表温度的定量关系——以兰州市为例[J].商丘师范学院学报,2020,36(09):50-54.
分享:
高亚洲主要包括青藏高原和周围的高山系(天山、帕米尔高原、兴都库什和喜马拉雅等,图1),有“亚洲水塔”之称。高亚洲冰川覆盖面积约为1.3×105km2,占全球山地冰川面积的43%[1]。在青藏高原地区,冻土面积达1.05×106km2[2],湖泊覆盖面积达36889km2[3],湿地面积为1.33×105km2(其中43.5%分布在长江、黄河和澜沧江-湄公河地区)[4]。
2020-12-05热带海洋温跃层是热带海洋大气耦合系统中的重要组成部分,在全球气候变化中有重要作用。太平洋温跃层与赤道东风和海洋上升运动紧密联系。在全球变暖下,热带海洋还可以通过温跃层和海洋上升运动调节海洋分量分布来影响气候变化。因此,认识全球变暖下热带太平洋的温跃层变化对于气候变化研究有重要意义。
2020-12-04内蒙古自治区地处亚洲中部蒙古高原的东南部及其周沿地带,以高原为主,海拔多在1000米以上,统称内蒙古高原。其地处中纬度内陆,大部属温带大陆性季风气候,只有大兴安岭北段属寒温带大陆性季风气候,终年为西风环流控制,以中纬度天气系统影响为主[1]。前人已对内蒙古地区气温特征做出了一定的研究。
2020-11-20自工业革命以来,在人类活动与自然共同作用下,导致全球气候逐渐变暖,例如,极端天气频发、海平面上升、冰川融化、寒冷季节缩短、粮食危机,进而危及到人们的身体健康。我国是气候变化的敏感区之一,中国气象局气候变化中心发布的《中国气候变化蓝皮书(2019)》显示,气候系统变暖趋势进一步持续,1951—2018年,我国年平均气温每10a升高0.24℃,升高率明显高于同期全球平均水平。
2020-11-20积温是作物全生育期或某个生育期有效温度的总和,是一个区域某一时段内逐日平均气温的累加值。农业气象中一般用一个地区一年内日平均气温≥10℃持续期内日平均气温的总和来表示年积温(简称积温),其大小代表当地热量资源状况,直接反映植物生长发育对热量的要求,从强度、作用时间2个方面来表示温度对生物体生长发育的影响[1],以℃为单位。
2020-11-20干燥度是表征气候干燥程度的指数,表示某地一定时段内的潜在蒸散量与同期降水量的比值。反映了某地、某时段水分的收入和支出状况。本文利用气象站点的观测数据计算得到干燥度,并分析了呼伦贝尔市1961~2017年干燥度的演变与分布规律,为今后预测呼伦贝尔市气候变化趋势提供科学支撑。
2020-11-19新疆地处亚欧大陆中部,是地理上离海最遥远的地方,但是夏季也时常出现区域性、地方性的较强降水。由于强大的热力学影响因素和复杂的地形原因,夏季午后迅速发展成长的强对流系统,经常会造成局地短时强降水或暴雨,对人民生产生活造成极大影响,这种情况是新疆短时临近预报的难点,也是夏季预报工作的重点。
2020-11-17冰芯记录显示,珠峰地区气温逐渐升高,20世纪是最为温暖的时段。过去50年来,年均气温升高约0.33℃/10a,与青藏高原平均升温率大致相当,高于全球平均。未来温室气体排放情景下,珠峰地区气温将持续升高,且升温幅度存在季节性以及区域差异,其中冬季增温更为显著,北部升温较大。
2020-10-24随着生活水平的提高,人们对天气预报也越来越重视,对预报的准确率提出了越来越高的要求。本研究通过检验预报业务中经常使用的20时国家指导预报、东北WRF和天气在线三种数值预报产品对鞍山地区各站日最高气温和最低气温的预报与实况之间的误差,为今后的温度预报找出可参考的依据。为今后的气温预报业务工作起到一定的指导作用。
2020-10-21随着全球气候变暖日益严重,西藏作为世界的“第三极”,对其降水量的研究在全球范围内都有深远的影响。目前,研究者们主要对西藏降水量进行客观规律的研究分析,从客观事实层面阐述西藏降水量的空间变化。笔者对近10年学者们研究西藏降水量的文献做计量分析,以期为西藏降水量主题及其延展性研究提供参考。
2020-09-22人气:8097
人气:7758
人气:6590
人气:4809
人气:4483
我要评论
期刊名称:气象与环境学报
期刊人气:1918
主管单位:辽宁省气象局
主办单位:中国气象局沈阳大气环境研究所
出版地方:辽宁
专业分类:科学
国际刊号: 1673-503X
国内刊号:21-1531/P
创刊时间:1984年
发行周期:双月刊
期刊开本:大16开
见刊时间:10-12个月
影响因子:0.253
影响因子:0.682
影响因子:0.160
影响因子:0.421
影响因子:0.081
您的论文已提交,我们会尽快联系您,请耐心等待!
你的密码已发送到您的邮箱,请查看!