摘要:针对高分七号测绘卫星模拟立体像对星上压缩是否满足测图应用需求的问题,本文从影响影像灰度、纹理、相关性等构像质量特征和DSM产品精度两方面进行影像压缩质量评价实验,开展了多种格网尺寸DSM的提取,通过比较不同压缩比下重建与原始影像生成DSM平均高程误差和高程中误差进行DSM产品精度分析。结果表明,对于星上JPEG-LS压缩算法,压缩比不大于4∶1时,压缩后影像灰度特征、纹理信息保持好,影像相关性大于0.997,重建影像峰值信噪比大于50,影像压缩质量好;随着压缩比的增加,DSM产品精度逐渐降低,压缩比不大于4∶1时,DSM高程中误差小于1m,满足1∶10000、1∶5000数字高程模型高程中误差一级要求。本文相关结论可为高分七号星上压缩指标论证提供参考。
加入收藏
测绘卫星是高分辨率卫星对地观测系统的基本组成部分,是国家的重要空间战略资源,基于空间信息基础设施建设和全球化战略服务,世界各国纷纷发展本国的测绘卫星或者具有测绘能力的卫星。国外商用测绘卫星的空间分辨率已从上百米提高到当前的0.31m,从满足1∶250000地形图制图发展到满足1∶5000地形制图[1,2]。我国首颗民用高分辨率光学立体测图卫星—资源三号于2012年1月9日成功发射,主要应用于我国1∶50000测绘产品制作,1∶25000及更大比例尺的地形图的修测与更新[3,4,5]。
与国家1∶50000地形图测绘和更新相比,我国对1∶10000以及更大比例尺地形图测绘和更新有着同等迫切的需求[6]。我国计划于2019年发射的光学立体测绘卫星—高分七号,其全色分辨率达0.7m,将从根本上改善我国广泛采购国外商用卫星影像数据进行1∶10000比例尺测图工作的现状。实现我国1∶10000卫星测绘能力的关键卫星工程,也是满足高精度住建应用、高精度统计应用与其他行业高精度应用对国产亚米级分辨率光学测绘卫星数据需求的核心技术装备。
随着图像分辨率的增加,星上数据量成倍增长,高分七号原始数据量已经是资源三号的5倍,为保障星上数据能够及时下传,需要对星上影像数据进行压缩。不同压缩比带来的影像畸变程度不同,最为重要的是星上影像压缩质量直接关系到卫星遥感影像的应用能力和应用范围。进行卫星遥感影像星上压缩质量评价,验证压缩后的卫星影像是否满足测图应用指标要求是开展测绘卫星星上压缩指标论证的重要内容,对提升国产测绘卫星应用具有重要意义。
遥感影像压缩质量评价分为主观质量评价和客观质量评价,其中客观质量评价中的构像质量评价是影像压缩基础评价之一,国内外学者对此进行了广泛研究,文献[7]利用常用的均方误差和峰值信噪比,结合压缩后图像的主观质量,对图像压缩进行了质量评价。文献[8]提出利用知识库的方法,通过大量的航空影像样本和若干影像构像指标进行定量评价和分级。但是如何根据这些指标来进行综合评价仍然需要研究。国内外学者对遥感影像压缩对测绘领域应用的影响做了大量研究,并取得重要研究成果。文献[9]对资源三号模拟影像进行压缩几何质量评价,结果表明,对于国产星上SPIHT压缩算法,在压缩比4∶1时,重建立体像对生成的数字表面模型可满足1∶50000高程中误差最低要求,压缩比为2∶1时,重建影像立体像对摄影测量定位点精度满足规范要求。文献[10]研究了JPEG2000对SPOT5卫星立体像对生成DTM的影响,结果表明,压缩比达到4∶1时,DTM精度受到很大影响。文献[11]采用图像灰度均值、方差、信息熵、相关性等指标对基于硬件JPEG-LS以3倍压缩后的资源三号多光谱影像进行了构像质量评价,并分析了多光谱影像压缩对影像融合的影响,结果表明,该压缩比可以满足多光谱测绘应用需求。文献[12]利用压缩前后图像中的角点位移平均量以及角点漏检率来评价图像压缩的几何精度。文献[13]利用SPOT5影像进行压缩实验,提出一种利用影像线特征变化来评价影像压缩质量的方法。这些研究都为开展遥感影像星上压缩质量评价提供了重要的参考。
遥感影像压缩构像质量评价作为影像压缩基础评价方法,是评价重建影像判读质量的重要手段;DEM是地表形态的数字化表达,蕴含了丰富的地学应用分析所必需的地形地貌信息[14]。基于高分辨率测绘卫星立体像对提取DSM是高分辨率立体测图卫星最为重要的测绘应用。本文针对高分七号测绘卫星亚米级分辨率遥感影像星上压缩指标设计,重点开展遥感影像压缩构像质量评价和对DSM提取精度影响的评价试验,分析对影像测图应用能力影响,为开展卫星星上压缩指标论证提供重要依据。
1、构像质量评价方法
根据构像质量评价考察的方向以及内容的不同,从影像特征分析和影像对比分析两个方面进行构像质量评价[9]。
1.1影像特征分析指标
本文中,影像特征分析包括影像灰度特征分析和影像纹理分析,通过研究原始影像和重建影像的灰度、纹理的性质和特点,分析压缩比的变化情况(表1)。
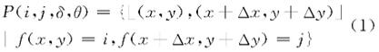
灰度共生矩阵是一种度量影像纹理特征的方法,从影像(x,y)灰度为i的像素出发,统计与距离为δ、灰度为j的像素(x+Δx,y+Δy)同时出现的概率P(i,j,δ,θ),见式(1)。
式中:i,j=0、1、…、L-1,L为影像的灰度级数;x、y是影像中的像素坐标,x=0、1、…、M-1;y=0、1、…、N-1。
表1影像特征分析指标
1.2影像对比分析指标
影像对比分析以原始影像和重建影像的差别为目标,并对这种差别进行量测(表2)。
在实际应用中,人们往往希望只用一个指标就可以对整个重建影像进行衡量,本文利用文献[15]提出的综合评价指标Q对影像压缩实验进行了统计评价,见式(2)。
μf和μg分别为原始影像和重建影像的灰度平均值;σf和σg分别为原始影像和重建影像的灰度标准偏差;Af、Cf和Ag、Cg分别为原始影像的角二阶矩、对比度和重建影像的角二阶矩、对比度。易知0
表2影像对比分析指标
2、DSM提取及精度评价方法
2.1DSM产品的提取
利用卫星影像立体像对构建DSM具有精度高、效率高、成本较低等特点,可以用来获取大范围的DSM。并且随着高分辨率卫星遥感技术的发展,基于航天遥感影像获取高精度DSM的方法成为当今生产中最常用方法之一[16]。
基于立体像对构建DSM过程中,需要建立遥感影像严密成像几何模型,来描述卫星影像上像点与地面点在地理三维空间中的位置。然而,一些商业遥感卫星传感器信息由于技术保密,成像几何模型暂不对外公开,用于替代光学遥感影像严密成像几何模型的有理多项式系数模型应运而生。RPC模型建立时,不考虑传感器成像的物理模型参数信息,直接采用数学函数将地面大地坐标(Dlat,Dlon,Dhai)与其对应的像点坐标(l,s)用比值多项式关联起来[17]。这样,就可以利用给定的影像数据和对应的RPC文件重建三维立体,实现DSM的提取[18]。DSM提取方式分为有控提取和无控提取,分别得到绝对高程的DSM和相对高程的DSM。无控提取不使用地面控制点进行平差,仅在影像进行连接点匹配时,利用影像窗口内的信息进行匹配计算,影像匹配精度可以达到子像素等级;有控提取利用地面控制点进行平差,重在提高DSM的绝对精度。对于一些较难获取控制点的地区,通常采用无控制点方式来生产DSM[19]。本实验中,基于高分七号模拟影像数据与RPC系数,采用无控制方式生成DSM产品。
2.2DSM精度评价方法
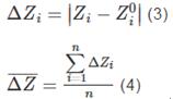
本文利用PCI软件提取多组立体像对的DSM,将原始立体像对生成的DSM0作为“参照”,不同压缩比下重建影像生成的DSM与DSM0作差,生成差值影像,并用平均高程误差和高程中误差来表示影像压缩对DSM提取的高程精度影响,如图1和式(3)~式(5)所示。
图1DSM产品精度评价方案
式中:i=1,2,3,…,n。Z0i和Zi分别为原始立体像对和重建立体像对生成的DSM0和DSM格网高程值;n为DSM格网数目;ΔZ¯¯¯¯¯为平均高程误差,反映了两个DSM高程差异的平均值;RMSE为高程中误差,RMSE越大,DSM产品质量越低,影像压缩对DSM产品精度的影响越大。
3、影像压缩质量评价实验与分析
3.1测评影像的选取和压缩
不同的测试影像,影像压缩所产生的影响不近相同。针对本次评价,考虑到影像压缩评价与测试影像的直接依赖关系以及对卫星工程研制的直接影响,开展高分七号立体影像模拟[20]。本文选取了包含多种地形(表3),综合考虑到自然地理要素和人文要素的高分七号模拟影像作为原始影像[21]。影像缩略图如图2所示。
针对小压缩比例,JPEG-LS[22]压缩算法由于对整幅影像的影响分布均匀而被资源系列卫星所广泛采用,同时由于计算相对简单易于工程硬件实现而被星上压缩大量采纳。本文使用的所有压缩后影像均是基于JPEG-LS硬件压缩,且按照卫星工程星上压缩指标论证的需要主要针对中、低倍压缩比,包括2∶1、3∶1以及4∶1。
表3测评影像集相关描述
图2测评影像
3.2构像质量评价实验结果与分析
遥感影像压缩构像质量分析统计结果如表4~表6所示。
山地地区的影像亮度值较城镇丘陵和高山地地区较亮一些,这和人眼视觉感受相符;城镇丘陵地区的灰度标准偏差大于山地和高山地地区,由图2可以看出,城镇丘陵地区的影像灰度层次明显较大;城镇丘陵、山地和高山地地区的角二阶距依次增大,对比度和信息熵依次减小,表明影像纹理均匀变化程度依次增大,信息量逐渐减少;其中,山地和高山地地区的纹理特征影像相对变化较小。
大体上,随着压缩比的增大,城镇丘陵、山地和高山地地区重建影像的灰度特征、纹理特征与原始影像差别逐渐增大;随着压缩比的增大,影像对比分析评价指标逐渐减小,压缩比不大于4∶1时,3个地区影像相似度、逼真度和相关系数均不小于0.9979;峰值信噪比均大于50;影像综合评价指标均不小于0.9976。
表4城镇丘陵地区构像质量评价结果统计
表5山地地区构像质量评价结果统计
表6高山地地区构像质量评价结果统计
3.3提取精度影响评价实验结果与分析
DSM试图通过离散的规则格网来表达连续变化的地形表面,因而DSM及基于DSM的数字地形分析具有明显的尺度依赖性[14],参考《1∶10000、1∶5000数字高程模型技术指标(CH/T9009.2—2010)》中DEM格网尺寸要求,分别生成5、2.5m的DSM,由于DEM产品边缘地区包含一些空值,需要进行裁切,裁切后DSM相关描述如表7所示。
表7DSM相关描述
本次提取DSM实验,匹配点均匀分布,所有生成DSM无控区域网平差实验中,X方向和Y方向最大残差分别不大于0.59和0.08个像素,且两个方向的残差均方根分别不大于0.19和0.03个像素,符合DSM提取要求。其中,由原始立体像对生成的DSM如图3~图5所示。
图3城镇丘陵地区生成的DSM
和城镇丘陵地区相比,山地、高山地地区的地势高、地形起伏大,也更陡峭;格网分辨率为2.5m×2.5m的DSM比5m×5m的DSM最大高程和高程误差要大,但是差距很小,并且在房屋、河道处的边界更加突出,山脉线的轮廓也更清晰一些。
统计DSM与DSM0在不同高程误差下的比率,如表8~表10所示。
随着压缩比增加,小于1、2、8m高程误差比率逐渐减小;相同压缩比时,对于城镇丘陵地区,5m×5m的DSM统计的小于1、2、8m高程误差的比率大于2.5m×2.5m的DSM格网统计数据,对于山地地区,2.5m×2.5m的DSM统计的小于1m高程误差的比率大于5m×5m的DSM格网统计数据,对于高山地地区,2.5m×2.5m的DSM统计的小于1、2m的高程误差比率大于5m×5m的DSM格网统计数据,说明在地形起伏大、地形复杂的地区,较小的格网分辨率更能准确表现真实地形,可以使DSM高程误差更为准确地反映图像压缩对DSM精度提取产生的影响;同一压缩比、DSM格网分辨率下,城镇丘陵地区的相应高程误差比率比山地、高山地地区要大,压缩算法对地形复杂、起伏大的地区生成的DSM精度影响大。
图4山地地区生成的DSM
图5高山地地区生成的DSM
表8城镇丘陵地区DSM差值百分比统计
表9山地地区DEM差值百分比统计
表10高山地地区DSM差值百分比统计
选择高山地DSM的某处具有明显地形变化的区域,进行水平剖面分析,得到不同压缩比下DSM高程具体变化情况如图6所示(4幅小图中的线分别为原始影像生成的DSM和不同压缩比下重建影像生成的DSM剖面曲线)。
在压缩比为2∶1、3∶1时,重建立体像对生成的DSM的与原始立体像对生成的DSM相比,DSM剖面匹配程度高,且较小压缩比时,局部DSM信息丢失更小;4倍压缩后的重建立体像对生成的DSM与原始立体像对生成的DSM相比,DSM剖面匹配程度较高,DSM信息有一定损失,但损失程度较小。
同一地区影像上误差特别大的点一般出现在有遮蔽的地区(如植被覆盖区域)、坡度较大的陡坡、峭壁和纹理较弱的河流等。因为在这些地区同名点寻找困难,从而造成影像匹配精度差,进而引起较大的误差。DSM精度通过统计一定误差范围内DSM0与DSM对应点差值的均值、中误差指标来表示(表11~表13),本文统计范围-8~8m内的误差(差值绝对值超出8m的点不大于总误差数的0.6%)。
图6DSM局部剖面图
随着压缩比的增加,3个地区的高程中误差均呈上升趋势,且在压缩比不大于4∶1时,高程中误差不大于1m。相同压缩比条件下,地形起伏较大、地形陡峭的地区高程中误差偏高。本实验中,在城镇丘陵地区和山地地区,格网分辨率2.5m×2.5m的DSM高程中误差比分辨率5m×5m高程中误差要高,在高山地地区相反,但是3个地区的高程中误差差距很小,不大于0.05m。
表11城镇丘陵地区自动生成DSM精度统计
表12山地地区自动生成DSM精度统计
表13高山地地区自动生成DSM精度统计
根据表14《1∶10000、1∶5000数字高程模型技术指标(CH/T9009.2—2010)》易知,在压缩比不大于4∶1时,重建影像立体像对生成的DSM精度下降小于规范高程中误差一级要求,为中误差一级要求的1/3~1/5,影像压缩对DSM提取相关测绘应用的影响满足应用需求。
表14《1∶10000、1∶50000数字高程模型技术指标(CH/T1008—2001)》
4、结束语
经过不同倍率的有损压缩后,影像特征会发生不同程度变化,也为后续影像应用工作带来影响。本文从遥感影像压缩的构像质量评价和对立体测图应用影响两个方面进行了实验与分析。结果表明:①压缩比不大于4∶1时,影像特征信息、纹理信息损失小,影像相似度、逼真度和相关性较高,峰值信噪比大于50,影像压缩质量好;②相同压缩比条件下,地形起伏大、地形陡峭地区的立体像对生成的DSM受压缩算法的影响较大;③随着压缩比的增加,DSM产品提取精度逐渐降低,对于星上JPEG-LS算法,在压缩比不大于4∶1时,影像压缩对DSM高程中误差的影响小于1∶10000、1∶5000数字高程模型技术指标高程中误差一级要求,满足相关应用需求;④本文通过较高的DSM提取格网分辨率,相比现应用于全国分辨率为10~25m的DSM格网来说,高分辨率DSM具有更强的细节表达能力,更能精确地反映影像压缩对DSM提取精度的影响。
针对卫星遥感测绘应用,考虑到影像压缩与测试影像的直接相关关系,后续需要通过影像模拟进一步丰富测试影像,开展影像星上压缩质量评价。同时,格网分辨率对DSM提取精度有一定程度影响,DSM格网尺寸也关系到各类地形参数,如坡度、坡向、剖面曲率等重要地形因子的提取和地学模拟,如TOPMODEL水文模拟和土壤流失模型应用的可信度。针对不同地学应用,影像压缩评价需要进一步研究DSM格网分辨率及对DSM应用的影响。
参考文献:
[1]唐新明,谢俊峰,张过.测绘卫星技术总体发展和现状[J].航天返回与遥感,2012,33(3):17-24.
[2]刘韬.国外光学测绘卫星发展研究[J].国际太空,2016(1):67-74.
[3]孙承志,唐新明,翟亮.我国测绘卫星的发展思路和应用展望[J].测绘科学,2009,34(2):5-7.
[4]唐新明,丛楠.我国测绘卫星现状与发展思考[J].地理信息世界,2011,9(2):40-44.
[5]唐新明,张过,祝小勇,等.资源三号测绘卫星三线阵成像几何模型构建与精度初步验证[J].测绘学报,2012,41(2):191-198.
[6]唐新明,高小明.我国测绘卫星和卫星测绘“十二五”发展战略研究[J].测绘通报,2012(10):1-4.
[8]赵有松,尹粟,张莉,等.航空遥感影像质量评价方法探讨[J].测绘科学,2016,41(1):158-161.
[9]翟亮,唐新明,张过,等.遥感影像压缩质量评价的研究及应用[J].武汉大学学报(信息科学版),2009,34(3):289-292.
[12]王明富,杨世洪,吴钦章.基于角点检测的遥感图像几何质量评价方法[J].测绘学报,2011,40(2):175-179.
[13]王昱,杨秀策,李晨钊.一种有效评估压缩对影像特征提取影响的方法[J].光子学报,2013,42(5):601-604.
[14]汤国安.我国数字高程模型与数字地形分析研究进展[J].地理学报,2014,69(9):1305-1325.
[15]翟亮,唐新明,李霖,等.一种新型的遥感影像压缩质量评价指标[J].武汉大学学报(信息科学版),2007,32(10):872-875.
[16]兰穹穹,郝雪涛,齐怀川.资源三号卫星影像DEM提取与精度分析[J].遥感信息,2015,30(3):14-18.
[17]秦绪文,张过.航天摄影测量[M].北京:测绘出版社,2013:51-53.
[20]岳庆兴,唐新明,高小明.亚米级卫星TDICCD立体测绘相机成像仿真[J].武汉大学学报(信息科学版),2015,40(3):327-332.
[21]岳庆兴,高小明,唐新明.基于半全局优化的资源三号卫星影像DSM提取方法[J].武汉大学学报(信息科学版),2016,41(10):1279-1285.
林瑶瑶,唐新明,薛玉彩,艾波.高分辨率测绘卫星遥感影像星上压缩质量评价[J].测绘科学,2020,45(05):165-174.
基金:战略性国际科技创新合作重点专项(2016YFE0205300);国家自然科学青年基金项目(41701427);基础测绘科技项目(2018KJ0302).
分享:
泛在测绘被定义为用户在任何地点、任何时间,认知环境与人产生关系时使用和构建地图的活动和能力[1]。泛在测绘服务于近乎实时定位的大众行业,时空位置信息是这类应用的数据基础,除了专业的测绘数据,一些非专业的包含空间位置的众包数据也逐步成为测绘行业应用的重要数据来源。
2023-10-30近年来,随着无人机、大数据、人工智能等技术的发展,快速、高精度的空间大数据处理模式已被广泛应用。摄影测量作为空间大数据的重要采集方式自然存在大量社会需求,同时这对摄影测量人才的数量和技术也提出了更高的要求。基于此,高校对于摄影测量人才的培养也必须顺应社会需求发展,即在摄影测量学课程设计方面需要进行改革和创新。
2023-09-05房产测量主要是利用测绘技术和方法,采集和表达房屋物权的有关信息,为房屋产权、产籍和物业管理、房地产开发利用、交易、征收税费及城镇规划建设提供数据和资料。随着我国经济不断发展,城镇居民住宅逐渐增多,对房产测量的精度与效率提出了更高的要求。本文针对目前房产测量的局限性,提出了利用三维激光扫描技术实现大面积房产测量平面图绘制的方法。
2023-08-30为促进无人机航测技术在电网工程建设中的应用,分析了无人机摄影测量系统的组成、特点、应用范围与作业流程,介绍了其在电网工程建设中的应用,包括在线路规划与地形图测量、电网应急救灾、电力巡线、电力线上异物处理中的应用。但受技术因素的影响,无人机在空中运行过程中仍然存在姿态不稳定、飞行时间偏短、航拍面积较小等问题。
2022-04-08现阶段民用基础地理信息数字成果可以通过转换、融合的方式,生产出满足军方使用的成果数据,但这种方法耗时长,成本高。从推进双方成果深度融合的角度出发,应从标准化的视角,建立标准化融合工作机制,构建军民通用的测绘地理信息标准体系,推动基础类标准的融合,尝试成果类标准的研制。推进军民基础地理信息数字成果及标准融合有利于统筹军民测绘力量。
2022-01-21在智慧城市这一概念提出之后,三维GIS技术的应用越来越充分,也达到了更好的实践效果。三维GIS是当下和未来GIS技能发展趋势的主要方向,它使空间信息不再局限于二维平面内。文章从三维空间数据库模型、物联网、三维可视化、互联网+GIS等方面对三维GIS技术及其在智慧城市中应用进行综合分析,为城市管理提供了新思路。
2021-12-25作为国民经济和社会发展支柱型产业之一,矿业起到基础性的支撑作用。作为矿山开采的基础条件,测绘质量提升属于行业重点探究的一个课题。无人机属于现阶段一种新颖的数据采集载体,与传统人工方式相比,存在着工作质量高、效率高、操作简单、机动性高等相关特点[1]。同时,无人机测绘技术将地面的地物、地貌空间具体状况体现出来,能够满足大比例尺成图要求。
2021-12-16促使智慧城市智能服务的领域不断延伸。智慧城市建设具有系统性和复杂性,其涵盖电力工程、交通工程、经济建设等多个方面[1]。因此,通过在智慧城市测绘中应用地理信息系统,构建信息联通平台,能够在很大程度上突破地理条件和环境因素的影响,为城市建设服务提供有效的数据支撑,使智能化服务更加符合社会发展的需求。
2021-12-15土地资源调查管理是政府的主要工作内容之一,高效的土地调查与管理,有利于实现土地资源的合理分配和高效利用,缓解我国土地资源短缺的压力。遥感技术以宏观、综合、动态、快速、准确的优势为国土资源管理与调查提供了先进的探测与研究手段,通过遥感技术可以获取高质量可靠的土地信息,为相关部门后续的土地规划利用奠定基础,实现国家土地资源的信息化、智能化管理。
2021-12-15随着信息化进程与城市规划设计速度的不断加快,我国的城市建设已经向着"智慧城市"的方向进行发展。"智慧城市"已经成为当前我国城市建设的目标之一,为了更好地实现这一目标,必须要合理利用当下相关信息化技术与设备,不断推进我国城市化发展进程。在对国土空间进行规划的过程中,利用先进的信息测绘技术以及定位系统,可不断提高国土空间规划的科学性与准确性。
2021-12-15人气:2953
人气:2279
人气:2270
人气:2268
人气:2225
我要评论
期刊名称:测绘科学
期刊人气:5361
主管单位:国家测绘地理信息局
主办单位:中国测绘科学研究院
出版地方:北京
专业分类:科学
国际刊号:1009-2307
国内刊号:11-4415/P
邮发代号:2-945
创刊时间:1976年
发行周期:月刊
期刊开本:大16开
见刊时间:一年半以上
影响因子:0.713
影响因子:0.000
影响因子:0.000
影响因子:1.236
影响因子:0.000
您的论文已提交,我们会尽快联系您,请耐心等待!
你的密码已发送到您的邮箱,请查看!