摘要:本文首先以舞弊风险因子理论和博弈论为基础,分析现阶段我国资本市场上普遍存在的公司财务舞弊问题,得出诱发公司财务舞弊的因素主要包括:公司高管谋求个人私利;公司为逃避证券市场处罚;公司隐瞒违法行为。然后建立三方博弈模型,从舞弊行为主体、注册会计师和监管机构三个不同的角度阐述影响公司财务舞弊的外部因素,以上市公司皖江物流的真实案例加以论证说明。最后提出对防范公司财务舞弊的建议。
加入收藏
近年来,上市公司财务舞弊事件受到广泛关注。公司在利益的驱使下,进行财务造假。对公司而言,若任由财务舞弊之风蔓延,势必会使公司治理紊乱、效率降低;对信息使用者言,长久以来,投资人会失去对公司的信任,最终也会导致公司难以立足于资本市场。鉴于此,本文以舞弊动因为出发点,采用博弈论与舞弊风险因子理论来分析舞弊动因间的关系;并结合具体案例进行进一步的实证;最后得出文章结论和针对性对策。
一、理论基础
财务舞弊特指该公司的高管人员或相关职位的员工通过非正常手段包括篡改公司财务记录或者编制虚假财务凭证等,掩盖公司真实财务状况,以期达到获取非法收益的目的[1]。由于财务舞弊是人为控制的非法行为,严重违背了我国相关法律法规和证券市场相关规范,扰乱了正常的证券市场规律,因此不论是社会各界、还是相关监管部门都对该行为秉持绝不姑息的强硬态度。
(一)舞弊风险因子理论
在多年的研究中,舞弊三角理论得到了较为广泛的认可和使用[2],但舞弊风险理论实则也是分析该问题的另一种思路方法(见图1)。
(1)舞弊动机。能够使上市公司产生舞弊动机因子不胜枚举,其中最关键的因素便是公司追求不当利益。即便是处在不同行业领域、行业环境,面对不同市场条件、竞争氛围的企业,也会受到利益驱使而采取财务舞弊的方式来达到非法目的。研究表明,最能够诱发企业财务舞弊的因素是企业自身财务状况不佳[3]。
(2)道德品质。一般情况下,评价一个人综合素质高低时,道德品质往往是一个重要的依据。在评价公司综合指标时,公司各岗位员工特别是公司的高管人员的道德品质也是一项重要的考核内容。考察公司员工是否坚持正确的价值观,是否坚守诚信的原则,对掌握公司整体价值观念具有很大帮助。归根结底,之所以出现财务舞弊,还是因为个人道德出现了裂痕。
图1舞弊风险因子理论构成
(3)舞弊机会。理论上,每个公司都有可能发生财务舞弊事件,只是因为各公司内部治理严格程度不同,以及公司面对的内外部监管形势不同,使得每一家公司发生该事件的概率有所差异。但是研究表明,存在一定缺陷的公司相比其他公司而言,更容易发生财务舞弊事件。公司缺陷具体表现在:第一,公司自身内部治理结构混乱;第二,人员职责的界定模棱两可,岗位之间不能形成很好的职责牵制;第三,公司管理者未尽其责;第四,公司处在松散的监管环境中,内部监督形同虚设,外部监督徒有虚名。
(4)暴露概率。暴露概率是指财务舞弊行为被公司内部监督机制或外部监督机构发现的可能性。财务舞弊行为越容易被发现,即暴露概率越高,企业想要悄无声息地进行财务舞弊就越发的困难,那么企业为舞弊付出的成本越高,企业选择舞弊的可能性也就越低[4]。由此,公司可以采取显著提高舞弊行为的暴露概率来达到防患于未然的目的。不仅如此,外部治理机构对企业的有效监管也是遏制该行为的必要途径。总之,在公司财务舞弊问题上,不仅公司内部要严加整治,而且外部监管也要充分发挥作用,共同建立一个全面的监管网络。
(5)惩罚程度。对我国监管部门和法律体系部门而言,应该首要思考如何建立一个完善且行之有效的惩戒制度。除此之外,还应当考虑如何制定有效的措施来保障市场投资者的合法权力不受侵害,以及企业财务舞弊行为一旦给相关利益者造成不可逆的损害,该如何帮助他们以合法有效的途径进行维权[5]。
(二)博弈理论
舞弊行为的三方主体———上市公司、会计师、外部监管机构之间的行为具有博弈的特点。
对于上市公司而言,证券市场相关法律法规明确规定了上市公司具有向社会公众披露公司真实财务信息的义务,但公司治理层为了获得融资,在企业处于财务困境时选择财务舞弊方式对公司披露的财务信息进行篡改或伪造,借此向社会公众制造一种企业经营现状良好的假象,如此便可获得投资者的资金支持。
对于会计师而言,在对上市公司财务报表进行审计的执业过程中,会计师个人的职业道德、业务能力等因素都将影响整个报表最终的审计结果。同时,会计师还可能与公司治理层合谋进行财务舞弊。
对监管机构而言,其职责是对上市企业的行为进行有效的监督管理,最大限度地维护市场秩序,保证市场规则不被打破。由于监管机构无法直接接触到企业各方面信息,在获取企业财务信息渠道方面也是极其有限,导致监管部门难以准确监督企业行为。信息不对称使得监管工作效率大打折扣。
通过对三方行为主体的行为分析不难看出,无论是行为主体中的哪一方,其行为并不仅只受单方影响,而是三方之间相互博弈之后最终产生的结果。也就是说,任何一方都是在综合考虑了其他各方行为影响以及选择不同行为策略对自身影响之后才做出的行为选择。由此,运用博弈理论对三方行为主体的关系进行研究能够帮助我们更加深入了解三者之间的动态关系,有助于深入挖掘公司财务舞弊诱因。
二、公司财务舞弊因素分析
本文通过运用舞弊风险因子理论和博弈论对公司财舞弊的影响因素进行全面分析,具体思路如图2所示。
(一)内因
(1)公司高管对私利的追求。目前,我国上市公司对公司高管的业绩考核大多数都采用公司业绩作为考核基础,选取的业绩指标包括公司的资产收益率、营业利润率等财务比率。这些考核成绩往往与公司管理人员的职位晋升、工资奖金水平、职业发展等关乎管理层个人切身利益的方方面面挂钩。由此,公司管理层为了保证自己的利益能够得到有效地延续和保障,在公司实际经营状况不佳的情况下,便会铤而走险选择采取财务舞弊的手段对公司财务数据进行系列操作,通过将公司财务信息向着有利于自身利益的方向进行修改,以此达到个人利益最大化的目的。这种情况也从侧面反映了我国上市公司现行的管理人员考核制度存在问题,不能客观地评价管理层真实的业务能力,相反还会诱发管理层为了维护自身利益进行财务舞弊从而损害公司利益。
图2公司财务舞弊的动因逻辑框架图
(2)逃避监管处罚。现有的证券市场处罚手段主要包括ST、股市摘牌等。证券机构通过在该公司的股票名称前附加“ST”符号,向证券市场投资人传达该公司经营现状不佳的信号。现行的法律法规更有规定:上市公司连续三年亏损的,其股票暂停上市交易;另外,我国上海证券交易所和深圳证券交易所也作出规定,上市公司连续两年亏损,都要对其进行“ST”处理。在这种政策体制中,许多上市公司为了避免股票被“ST”处理、或者公司股票被取消上市资格,会在公司亏损的第二个年度或者第三个年度选择财务舞弊。不仅如此,中国证监会也有相关规定:如果在报告年度内,公司实现的利润水平不足预期的20%,公司在做出公开说明和道歉之后,会取消该公司两年内的配股资格。如此,上市公司若察觉到自己无力完成预期的利润目标,为了使公司避免在上市初期受到证监会的处罚,也会选择财务舞弊方式。
(3)隐瞒违法行为。公司进行财务舞弊的另一个目的在于掩盖公司逃税、漏税等不法行为。一些公司甚至建立两套财务系统,并在财务报表上做手脚。除了掩盖关于税收的不法行为,有些公司为了掩盖公司从事的“洗钱”行为,通过财务舞弊方式掩人耳目。
(二)外因
在分析公司财务舞弊的外部影响因素时,本文以上市公司、注册会计师和监管机构三方为主体建立了三方博弈模型,以此来帮助分析。
(1)参与人及行动方案。在这个博弈模型中,行为三方———上市公司、注册会计师、监管机构之间是相互影响的关系。在公司财务舞弊问题上,由于行为三方都遵循经济学上“经济人”的基本假设,因此行为三方都是从自身利益最大化出发,必然导致行为三方在利益上产生分歧,故可以说三方行为存在博弈。
在该模型中,上市公司的行动组合为(舞弊,不舞弊);注册会计师的行为组合(合谋,不合谋);监管机构的行为组合为(有效监管,无效监管)。假设,只有监管采取一定措施就一定可以揭露公司财务舞弊,此即为有效监管;无效监管即指监管机构懈怠与监管职责。
如果上市公司出现了财务舞弊行为,但是注册会计师选择不同流合污,那么会计师最终对公司财务报表出具非无保留意见类型的审计报告,此时相当于对公众传达了企业财务状况不佳的信号,对监管部门而言则不需要再监察公司的财务舞弊。如果上市公司自身有财务舞弊问题,且负责审计的注册会计师与其同流合污,对上市公司的财务报表出具了无保留意见类型的审计报告,或上市公司自身没有财务舞弊问题,此时由此对该公司是否存在财务舞弊问题以及注册会计师是否在审计过程中参与了该公司的舞弊难以确认,则需要监管机构发挥监管职责,此时又会出现两种截然不同的监管结果。如图3所示:
图3博弈三方的行动方案
图3博弈三方的行动方案下载原图
(2)博弈变量。博弈模型参数及变量函数如表1所示。
(3)三方博弈模型。首先假设监管机构对公司是否会发生舞弊行为和注册会计师是否参与舞弊事先并不知情。如表2所示。
表1博弈的参数及涵义下载原表
表1博弈的参数及涵义
表2博弈行为概率
由此建立如表3所示的博弈模型:
上市公司的收益函数为:
当且仅当该公司选择舞弊与不舞弊所产的收益相同时,达到博弈均衡,即:
求解α,此时的α即为监管部门有效监管情况下的最优值
注册会计师的收益函数为:
当且仅当注册会计师选择合谋与不合谋产生的收益相同时,达到博弈均衡,即:
求解α,此时的α即为监管部门有效监管情况下的最优值
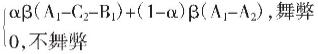
监管机构的收益函数为:
当且仅当监管部门进行有效监管和无效监管的收益相同时,达到博弈均衡,即:
αβ(B1+B2-B3)+α(1-β)(-B3)=(1-α)β(-A2)
首先,在
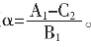
中,C2是指注册会计师参公司的财务舞弊所能获得的收益,这部分收益对于财务舞弊而言则是成本,因此上式中的(A1-C2)指的是在监管机构监管无效时,公司进行财务舞弊所能获取的总收益,可见(A1-C2)数值越大,公司则更愿意承受风险选择舞弊,对监管机构而言也需要适当的提高有效监管的概率。
反之,B1的值增加时,公司进行财务舞弊的概率也会有所降低,此时α的值也会有所减小。
其次,在
中,C2的值越大,则说明会计师通过参与公司的财务舞弊能够获得的收益也更高,由于已经假设行为主体符合“经济人”的假设,因此注册会计师也更倾向于参与公司财务舞弊以此来获得更高的收益。故,α的值也会越来越大。β<1,C1的值越大,则说明审计的成本增大,此时也会使得会计师参与公司的财务舞弊,α的值也会变大。
反之,当B2的值增加时,由于参与舞弊的机会成本变得更大,此时会计师便不会轻易参与公司的财务舞弊,α的值会有所减小。
最后,在
中,当B1,B2的值都变大时,对于公司和注册会计师而言,进行财务舞弊需要承受的代价变得更大,那么二者选择财务舞弊的可能性会降低。反之,如果B3的值变大,则说明监管部门对财务舞弊的监管需要耗费的成本更大时,公司和注册会计师则有更多的机会进行财务舞弊,此时发生财务舞弊的概率也会显著增加。若A2的值变大,财务舞弊造成的社会后果更加严重,监管部门也会相应地增加监管的力度,此举也能有显著地降低合谋舞弊发生的可能性。
三、上市公司财务舞弊行为的案例分析
2015年10月9日,证监会对皖江物流集团以信息披露进行调查完毕,经查明皖江物流存在四项违法行为:一是2012—2013年间皖江物流合计虚增收入91.54亿元,虚增利润4.9亿元。二是皖江物流未在2011年年报披露淮矿物流为华中有色等提供16亿元的动产差额回购担保业务。三是2014年淮矿物流向中西部钢铁等公司提供共计2.2亿元的最高额担保,2013—2014年淮矿物流为江苏匡克等8家公司承担最高额为13.05亿余元的动产差额回购担保。皖江物流未按规定披露上述事项,其中1.56亿元动产差额回购担保事项也未在2013年年报中披露。四是2013年皖江物流未按规定披露淮矿物流与福鹏系公司30亿债务转移情况。证监会公布的四项违法行为,均属于财务舞弊行为,本文将运用前文的研究结论对皖江物流财务舞弊事件进行分析。
(一)基于舞弊三角理论的内部动因
(1)皖江物流管理层的道德品质扭曲。皖江物流案例中,该公司的经理层人员、总会计师以及子公司董事长等高级管理人员都因在不同程度上存在越权行为被予以警告,且涉事高管人员最终受到证券监督管理机构的处罚。究其根本这起舞弊案件之所以愈演愈烈,正是由于该公司高管人员道德素质败坏、法律意识淡薄。
(2)避免集团被处罚。皖江物流通过与子公司之间虚构交易的方式进行财务舞弊,具体见表4:
表4皖江物流虚构贸易循环情况
资料来源:根据证监会《行政处罚决定书》[2015]21号和上交所《公开谴责和公开认定》[2015]15号整理。
在虚构的关联交易中,集团公司内商定交易品种后,与子公司和关联方再发生关联交易,在整个交易过程中,只有资金链的循环,没有实物的循环。如图4所示:
图4贸易循环流程图
图4贸易循环流程图下载原图
(3)考核机制不合理。现阶段,导致公司财务舞弊事件层出不穷的诱因主要是现行管理人员业绩考核制度极其不科学。由于目前的管理人员考核制度普遍与管理人员在职期间公司的经营业绩息息相关,甚至公司实现的利润水平被当做具有决定性作用的考核基础。至此,公司管理层在利益的驱动下,便会以不当手段来谋求个人利益最大化。在皖江物流的考核制度中,有明确的规章制度表示:公司高级管理层的薪酬与公司当年度实现的利润水平两者之间具有紧密的联系,该阶层管理人员效益年薪的高低由审计后的净利润确定。正是这种不科学的业绩考评制度,为该公司的财务舞弊的爆发埋下了定时炸弹。
(二)基于博弈论的外部动因
(1)舞弊收益远超需承担的后果是舞弊的关键动因。现阶段很多企业都伺机成为舞弊的机会主义行动者,期望通过财务舞弊的手段保护公司的上市地位、或达到公司预期的财务目标、或从市场上获得融资、或为了满足公司内部管理者的利益要求。相比于通过财务舞弊的手段完成这些目标所需付出的成本代价和事件败露后所需承担的后果而言,公司或者个人从事件中获得收益远远超过这些,正因如此,才会不断地有公司铤而走险。故想要真正的防范财务舞弊行为,需要健全惩戒制度,加大对舞弊公司的惩罚力度。
(2)监管成本及舞弊的负面影响对财务舞弊行为影响显著。皖江物流财务舞弊事件处理中,证监会的处罚明显失之于宽、失之于软。相关责任人仅受到小金额的罚款和行业禁止处罚。这些“负效用”是明显小于财务舞弊事件给相关责任人带来的“正效用”,博弈权衡之下,上市公司控制人选择财务舞弊这一行为是“理性选择”。因此,皖江物流集团财务舞弊事件是经过复杂的利益权衡产生的结果,与监管成本高、预期处罚成本低、违法收益高无不相关,这也是近几年我国资本市场财务舞弊案频发的症结所在。
(3)会计师专业胜任能力和独立性水平及会计事务所的独立性可以有效遏制舞弊行为的发生。会计师事务所作为重要的第三方机构,必须强调保持独立性的重要性,按照相关的职业道德准则建立一套完善的事务所人员从业考核制度,并每年与事务所人员签署保证独立性的文件。另外,由于注册会计师自身的道德素质和利益诉求,也会使其在执行工作中很难保证绝对意义上的独立,当注册会计师个人利益与参与被审计公司财务造假所获得的利益产生冲突时,注册会计师也可能出于谋求更高利益的目标,参与被审计对象的财务舞弊。在皖江物流财务造假事件中,未对皖江物流财务状况进行详细调查,未发现该公司存在虚假交易,导致会计信息失真问题发生。具体而言,皖江物流集团委托的会计师事务所华普天健会计师事务所(北京)存在两大问题:一是执行审计项目注册会计师缺乏独立性。2010—2014年皖江物流年度财务报告皆由华普天健会计师事务所(北京)负责审计的注册会计师宋文和胡新荣审签,长达5年未进行更换,也未对其独立性进行内部审计评估,从而使得注册会计师成为本次财务舞弊事件的重要推动因素;二是受托的会计师事务所缺乏独立性。华普天健会计师事务所(北京)作为中小型会计师事务所,皖江物流集团业务占比超过其重量的百分之十,使得其很可能与皖江物流达成购买审计意见的协议,从而对皖江物流的舞弊或违规行为视而不见。
四、结论与建议
(一)建立更加合理、多元的考核体制
第一,采取多角度的考核指标,而不仅是局限于企业实现的经营业绩;第二,考核既要重点关注公司盈利水平,也要加强管理人员真实能力的考评,包括评估管理人员的勤勉程度、敬业程度、工作努力程度以及个人职业道德素质等方面;第三,考核应重点关注考评期间前后公司的发展情况,而不是局限于在考评期间内公司实现的会计利润。
(二)提升管理团队的道德素质
第一、增强管理团队的法律意识。在管理人员上岗之前必须通过与法律相关的职业资格考试,取得资格证书,能够在整体层面上提升管理团队对我国法律体系的认知;公司要定期举行教育活动,特别是对关键岗位的职工和公司的高级管理层;在公司内部要培养重视法律的企业文化氛围,“法律雷池、不越半步”的经营理念要贯穿于公司日常经营管理活动的方方面面。第二,提高管理团队的道德素质。其一,在公司对外招聘员工时,要加入对应聘人员道德品质的考评;其二,在公司内部要不定期的开展学习活动,在公司营造良好的学习先进企业文化的氛围,增强员工对企业文化的认同感,同时也能够激发公司全体员工的使命感和责任感;其三,如果发现员工做出有损企业利益的行为,应考虑对员工进行人性化教育,给予改过自新的机会,若屡教屡犯,则需要严加惩治。
(三)加强会计监督,优化审计业务
注册会计师在执行审计业务时,对于识别出来的重大异常的关联方交易更要保持必要的职业怀疑,抽丝剥茧,对涉及其中的关联方采取必要的措施,验证其财务信息是否真实、可靠。同时,在事务所连续承接同一项审计业务时,特别关注负责该项审计业务的相关人员是否满足独立性条件。从根源上降低会计师参与上市公司财务舞弊事件的做法,包括但不限于:第一,社会监管中介机构或者政府有关监管部门可以要求上市公司定期更换承接业务的事务所;第二,寻求契约的优化,最大限度地保证事务所和执业会计师的独立性。
(四)加大惩罚力度,建立行之有效的惩罚规则
首先,要尽早建立完善的法律体系。完善的法律框架可以对公司的财务舞弊行为起到一定的抑制作用,并且在事件发生之后能够及时处理,有效降低不良行为带来的严重后果,提高相关执法机构的执法效率。由于公司的财务舞弊方法越来越缜密,有些技术甚至涉及现有法律体系难以界定的领域范围,因此需要不断地更新法律体系。其次,规范社会中介机构的服务收费,建立严格、明确的责任制度,采取多方举措增加会计师参与舞弊的成本代价。最后,发生舞弊事件除了事件的主导者加以严惩,还应该调查其他相关责任人在舞弊事件中充当的角色,依照行为严重程度界定各相关责任人需要承担的后果,并予以相应的惩罚。
参考文献:
[1]刘文军,米莉,傅倞轩.审计师行业专长与审计质量———来自财务舞弊公司的经验证据[J].审计研究,2010(1):47-54.
[2]韦琳,徐立文,刘佳.上市公司财务报告舞弊的识别———基于三角形理论的实证研究[J].审计研究,2011(2):98-106.
[3]郝玉贵,刘李晓.关联方交易舞弊风险内部控制与审计———基于紫鑫药业案例的研究[J].审计与经济研究,2012,27(4):26-35.
[4]李平,于玲.基于财务舞弊的内部控制研究[J].经济研究导刊,2009(1):103-104.
[5]卢涛.我国上市公司财务报告舞弊行为识别及其监管研究[D].东北财经大学,2013.
牛羿恒.上市公司财务舞弊动因与治理研究——基于舞弊风险因子理论与博弈论共同视角[J].财会通讯,2020(12):99-103.
分享:
实现具有中国特色社会主义的乡村振兴,实现农业强、农村美、农民富,必须走科技兴农之路,运用辩证法关于普遍联系和对立统一的规律大力发展智慧农业、推广智慧农业、振兴乡村经济是民族复兴的大问题。正如习近平总书记在吉林考察时强调的:“让农民用最好的技术种出最好的粮食。”
2020-10-21IoMaT与IoT不同,其感知终端通信环境面临许多的挑战。TSOR改进了传统的机会路由策略,在降低通信负载、网络开销和提高网络寿命和交付率方面取得了进步。但是我们发现,所采用的网络模型在全局能量平衡问题上仍有可以进步的空间,未来可以根据不同深度节点的通信负载与能耗的关系,全面地考虑实现高效且可靠的路由策略。
2020-10-19有关恩格斯自然辩证法与马克思哲学的关系问题一直是中外学界高度聚焦且至今未果的学术难题。本文在梳理所谓自然辩证法与马克思哲学之“对立”说的基础上,通过厘清《自然辩证法》创作的理绪背景,特别是被长期遮蔽的德国自然哲学传统与恩格斯学理运思的意向性期待,再比照马克思哲学的理论内核,凸现二者的内在关联,以期为该难题的终极求解提供一条新路。
2020-10-19干旱是全球最为常见的自然灾害。据统计,我国每年发生的自然灾害中,气象灾害占到了70%,而干旱占到了气象灾害的50%,干旱的发生频率远远超过了其它气象灾害。干旱具有持续时间长、影响范围大、危害程度高等特点。近来不断发展的传感器技术及图像处理方法为旱情的快速、自动、全面化监测开辟了一条新途径。
2020-09-05海德格尔的思想深刻地影响了其后的哲学家乃至相关哲学流派的“生成”,安德鲁•皮克林的科学实践建构思想对于人与物的后人类主义阐释,可以看作是对海德格尔有关人与物分析之基本思想的承继与发展,但鉴于他是在科学哲学的背景下阐释人与物的开放性本质,因此在具体的阐述路径上与海德格尔的纯然存在论的思路又必然有着重要的区别。
2020-07-10感受质是目前心灵哲学中用来拒斥物理主义而提出的一个重要的概念工具。通常认为,“所谓感受质就是所予的可识别的质性状态的一个例示,是不同于物理性质的一类特殊的主观性质。”[1]感受质通常表现为一个有意识的主体所能够意识到的一种现象的质的特征。对这一特征产生的原因和机制的解释是一个重要的哲学难题。
2020-07-10从当前的分析检测行业发展情况来说,智能实验室的管理实践中,借助人工智能的技术发展,使得仪器设备管理优化,不断提高仪器设备使用效率,推动实验室标准化发展以及运行。引入现代化技术手段,提高仪器设备标准化,有助于增强实验室的智能化,切实提升实验室价值与效率的发挥。
2020-06-20本文提出基于BIM技术的电子信息化控制工程成本管理控制模型。该模型采用BIM大数据信息化管理和特征分析的方法,建立电子信息化控制工程成本管理的约束参数模型结合回归分析和统计检验的方法,进行电子信息化控制工程管理成本的优化预测,实现工程管理成本的优化预测,最后进行实验测试分析,得出有效性结论。
2020-06-16近几年我国自然灾害频发,如2019年的四川凉山三县的森林火灾灾害,以及不久前发生的四川宜宾地震灾害,还有6月13日发生的江西洪灾灾害。其中,2008年的汶川地震是近几年来发生的影响最大、造成损失最严重的自然灾害事件。而且随着社会的发展,一旦发生大型自然灾害会对社会的经济活动造成较大的影响和损害,所以,人们对应急救灾的要求越来越高。
2020-06-10C2C交易涉及众多行业,甚至直接产生一种新兴的商业类型,这让原有的监管体系难以与之匹配。同时,大量没有进行工商、税务登记的个体涌入市场,造成了税收流失、行业准入、不公平竞争等问题。C2C的这些特点以及税收监管的缺失不仅造成了我国大量的税收流失,而且对税收公平、税收中性等原则造成了冲击。
2020-06-10我要评论
期刊名称:大众科学
期刊人气:1755
主管单位:当代贵州期刊传媒集团
主办单位:当代贵州期刊传媒集团
出版地方:贵州
专业分类:科学
国际刊号:1002-6908
国内刊号:52-1049/N
邮发代号:66-19
创刊时间:1980年
发行周期:月刊
期刊开本:16开
见刊时间:4-6个月
影响因子:0.007
影响因子:0.325
影响因子:1.064
影响因子:0.620
您的论文已提交,我们会尽快联系您,请耐心等待!
你的密码已发送到您的邮箱,请查看!