摘要:作为鱼类上溯第一步的鱼道进口,其附近水流条件至关重要,而且还可能成为影响过鱼设施运行成败的核心点,从而让洄游鱼类找到发现鱼道进口。文章通过对关门嘴子水库鱼道的研究,并与枢纽的运行情况相结合,使用二维数值仿真模型,研究拦河坝下游河道水流条件,通过研究发现,研究区域附近水流流速均大于保护鱼类的感应流速0.20m/s,小于保护鱼类的极限流速1.20m/s,从水力学角度看可以使鱼类洄游要求得以满足,原方案拟定的鱼道进口位置较为合理。研究数据可以为鱼道进口的布置提供数据参考。
加入收藏
为了满足人们对水资源日益增长的需求,人们兴建了大量的水利水电工程,这些工程带来防洪、发电、航运、灌溉等经济效益的同时,也阻隔了连通的河道,影响了河流生态环境的整体连续性,从而阻隔了鱼类的洄游通道,改变了鱼类的栖息环境,对鱼类的生存繁殖造成不利影响[1]。为了保护鱼类资源,恢复河流生物多样性,减轻水利工程对阻隔鱼类洄游通道的影响,过鱼设施开始应用于越来越多的水利工程中。鱼道便是其中最常见的过鱼设施,其中竖缝式鱼道因适用于较大水位差及不同喜好水深的鱼类等优点,成为国内外应用最为广泛的鱼道布置型式之一[2-3]。竖缝式鱼道一般由鱼道进口、过鱼池、鱼道出口等组成,其中鱼道进口是鱼类上溯的第一步,必须使洄游鱼类可以尽可能发现鱼道进口,鱼道进口位置的选择十分重要,甚至可成为影响过鱼设施运行成败的关键[4-6]。目前国内外对竖缝式鱼道已开展了大量研究,并取得了一定的研究成果。董志勇等[7]通过物理模型试验对同侧竖缝式鱼道的流速分布、断面最大流速沿程衰减及同水深不同流量的流速分布等水力特性进行了系统研究;边永欢等[8]通过数值模拟方法对竖缝式鱼道细部结构开展了优化研究,并提出了不同结构的取值范围;包莉等[9]对竖缝式鱼道的圆弧形和矩形两种不同结构型式的弯道处流速进行数值模拟研究,并进行物理模型试验验证。但是这些研究多是对鱼道池室结构及水力特性的研究,而对选取鱼道进口位置的研究较少。本文以关门嘴子水库鱼道为例,采用二维数值仿真模型,根据水利枢纽的运行情况,对拦河坝下游河道水流条件进行模拟研究,分析鱼道进口附近流速分布情况,为本工程鱼道进口的布置提供依据。
1、工程概况
关门嘴子水库位于黑龙江省三江平原,鹤岗市东北部梧桐河上游,北距鹤岗市30.00km处,是一座以城镇供水、农业灌溉为主,结合防洪,兼顾发电等综合利用的大(2)型水利枢纽。水库正常蓄水位为146.50m,死水位为132.50m,总库容为4.03×108m3。枢纽主要建筑物包括拦河坝、溢流坝、坝后式厂房等。关门嘴子水库枢纽建成后,拦河坝将会阻隔梧桐河洄游鱼类的洄游通道,影响鱼类的生存繁殖,因此本工程拟修建竖缝式鱼道作为主要洄游鱼类的保护措施。鱼道布置在右岸,全长1563.00m,主要建筑物有鱼道进口、过鱼池、鱼道出口等,其中鱼道进口初步布置在尾水渠下游。根据对鱼类的调查,梧桐河主要洄游鱼类有以细鳞鱼、哲罗鱼、江鳕等为代表的珍贵冷水性鱼,以鲢、鳙、鲤、银鲫等为代表的温水性鱼。工程主要过鱼季节在4—7月份,在该季节水库上游水位在正常蓄水位146.50m与水位143.50m之间变化,而坝下河道水位一般维持在119.30~120.10m之间。
2、数学模型
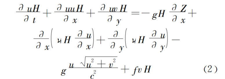
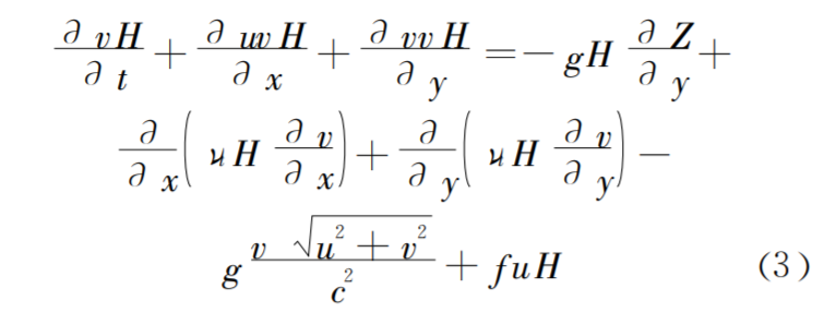
2.1 控制方程
采用二维数值仿真模型,建立沿水深平均的平面二维水动力数学模型。模型沿水深平均的二维水动力运动基本方程是将三维水流运动基本方程沿水深进行积分,同时取平均。基本方程包括质量守恒方程和X、Y方向的动量守恒方程。
水流连续方程:
沿X方向动量方程:
沿Y方向动量方程:
式中:q为流量,
,c、R、n分别为谢才系数、水力半径、底床糙率;H为水深、Z为水位;u为x方向的流速,v为y方向的流速;µ为紊动黏性系数,f为柯氏力系数,f=2ωsinφ,ω、φ分别为地球自转角速度和计算水域地理纬度。
模型控制方程的数值解通过流体力学的有限单元法来计算,其基本求解过程为:首先将控制方程分别在空间和时间上进行离散,采用有限单元法进行空间离散,采用差分法进行时间离散;然后通过加权余量的Galerkin有限元方法把浅水方程离散成非线性代数方程,整个求解过程全部采用隐式格式。
2.2 计算区域及网格划分
数学模型计算区域包括关门嘴子水库枢纽电站尾水渠和拦河坝下游河道,模型出口位于拦河坝下游约600.00m处。模型采用三角形网格,网格划分采用渐变方式,在模型进、出口附近网格尺寸为2.50m,网格数为3660个。计算区域及网格划分见图1。
图1 关门嘴子枢纽下游河道数值模型及网格划分
2.3 边界条件及参数设置
模型上游进口和下游出口分别采用流量边界和水位边界。陆地采用干湿法作动边界处理,以保证模型计算的连续性,其中当计算区域作为“湿”,此时计算区域水深大于0.20m,重新参加计算;当计算区域作为“干”,此时计算区域水深小于0.10m,不参加计算。通过查阅关门嘴子水库所处梧桐河河段相关文献,结合植被条件、床面形态等因素,河段内糙率取用0.025。
2.4 模型验证
为了验证所建立的数学模型的可靠性,选取了有物理模型资料、且同属于弯曲河道上的某航电枢纽进行验证。利用建立的二维数值仿真模型,分别对该航电枢纽两个流量级下枢纽附近流场进行了验证。数学模型和物理模型计算所得的验证断面速度分布见图2。由计算结果可知,二者流速分布基本一致,说明数学模型参数选择正确,网格划分合理,控制方程的离散方法可行,计算程序可靠,数值计算结果基本反映了原型水流的运动情况。
图2 计算区域中心流速对比图
2.5 计算工况
根据枢纽的运行条件,选取5组工况,对拦河坝下游河道及鱼道进口附近的流场情况进行分析。包含了鱼道的进口最低运行水位工况、进口最高运行水位工况和不同数量电站机组运行工况。计算工况如表1所示。
表1 进口水流条件研究工况
3、计算结果分析
鱼类在洄游上溯时,一般是逆着水流向上游。鱼类在一定的时间能够克服某种水流的流速大小作为鱼类的克流能力。感应流速、喜爱流速与极限流速是鱼道设计中反应鱼类游泳行为的三种克流流速。鱼开始感应并趋流前进时的水流流速为感应流速;鱼类会无法逾越而退却时的水流流速为极限流速。鱼道进口的水流条件直接关系到鱼类能否顺利找到鱼道,鱼道进口附近最好有持续水流下泄,同时应避开高紊动区、高流速区。《水利水电工程鱼道设计导则》[10]中规定:鱼道的设计流速不应小于鱼类的感应流速,同时不应大于主要过鱼对象的极限流速。根据梧桐河流域水生生物资源调查报告,以及国内外试验和观测资料,哲罗鱼的极限流速一般为1.45~1.63m/s,细鳞鱼的极限流速一般为1.00~1.50m/s,鲢、鳙等温水性鱼的极限流速一般为0.60~1.20m/s;哲罗鱼的感应流速一般为0.07~0.13m/s,细鳞鱼的感应流速一般为0.04~0.14m/s,鲢、鳙等温水性鱼的感应流速一般为0.20m/s左右。综合各因素,本项目中保护鱼类的极限流速定为1.20m/s,感应流速定为0.20m/s,因此鱼道的进口附近流速必须在0.20~1.20m/s范围内。当鱼道的进口附近流速在鱼类的喜爱流速0.30~0.50m/s时,鱼类更容易找到进鱼口。
3.1 Y-1
工况Y-1工况,水库下泄3.51m3/s环境流量,下游水位119.30m最低运行水位工况时,通过数值计算结果(图3、图4)得出,鱼道进口附近水流速度约为0.20m/s左右,且水流平顺,无回流等不良流态,满足鱼类上溯要求。同时鱼道进口附近河道相对于主河道略有缩窄,该处流速大于主河道各处流速,鱼类可较快发觉鱼道进口。
图3 Y-1工况鱼道进口及下游河道流场等值线图
图4 Y-1工况鱼道进口及下游河道流场矢量图
3.2 Y-2
工况Y-2工况,1台机组额定功率以下运行发电,泄水10.16m3/s,下游水位119.50m时,通过数值计算结果(图5、图6)得出,下游河道流速在0~0.90m/s之间;鱼道进口处水流平顺,无回流等不良流态,鱼道进口附近流速在0.90m/s左右,小于1.20m/s的保护鱼类的极限流速且大于主河道其他位置的流速,同时大于0.20m/s的保护鱼类的感应流速,有利于鱼类找到鱼道进口。
图5 Y-2工况鱼道进口及下游河道流场等值线图
图6 Y-2工况鱼道进口及下游河道流场矢量图
3.3 Y-3
工况Y-3工况,1台机组发电,泄水20.31m3/s,下游水位119.70m时,通过数值计算结果(图7、图8)得出,下游河道流速在0~0.80m/s之间;鱼道进口水流平顺,无回流等不良流态,鱼道进口附近流速在0.80m/s左右,小于1.20m/s的保护鱼类的极限流速且大于主河道其他位置的流速,同时大于0.20m/s的保护鱼类的感应流速,满足鱼类上溯要求。
图7 Y-3工况鱼道进口及下游河道流场等值线图
图8 Y-3工况鱼道进口及下游河道流场矢量图
3.4 Y-4工况
Y-4工况,2台机组发电,泄水40.62m3/s,下游水位120.00m时,通过数值计算结果(图9、图10)得出,下游河道流速在0~0.80m/s之间;鱼道进口水流平顺,无回流等不良流态,鱼道进口附近流速在0.60~0.80m/s左右,小于1.20m/s的保护鱼类的极限流速,同时大于0.20m/s的保护鱼类的感应流速。在本工况下,鱼类能够找到进鱼口从而顺利进入鱼道内部。
图9 Y-4工况鱼道进口及下游河道流场等值线图
图10 Y-4工况鱼道进口及下游河道流场矢量图
3.5 Y-5
工况Y-5工况,水库下泄流量63.70m3/s,下游水位120.13m的鱼道进口最高运行水位工况时,通过数值计算结果(图11、图12)得出,下游河道流速在0.10~1.00m/s之间;鱼道进口附近水流流速在0.80~1.00m/s左右,小于保护鱼类的极限流速1.20m/s,同时大于保护鱼类的感应流速0.20m/s,并且水流平顺,无回流等不良流态,因此在本工况下,鱼类能够找到进鱼口从而顺利进入鱼道内部。
图11 Y-5工况鱼道进口及下游河道流场等值线图
图12 Y-5工况鱼道进口及下游河道流场矢量图
4、结论
本文通过建立关门嘴子水库下游河道二维水动力数学模型,研究模拟了不同运行工况下鱼道进口附近的水流条件,对鱼道进口布置的合理性进行了分析,得到以下结论:在枢纽各运行工况下,鱼道进水口附近水流平顺,无回流等不良流态水流条件,水流流速均大于保护鱼类的感应流速0.20m/s,小于保护鱼类的极限流速1.20m/s,从水力学角度能满足鱼类洄游要求。原方案拟定的鱼道进口位置较为合理。
参考文献:
[1]刘志雄,周赤,黄明海.鱼道应用现状和研究进展[J].长江科学院院报,2010,27(4):28-31.
[2]汪红波,王从锋,刘德富,等.横隔板式鱼道水力特性数值模拟研究[J].水电能源科学,2012,30(5):65-68.
[3]水利部南京水利科学研究所.鱼道[M].北京:电力工业出版社,1982.
[4]王兴勇,郭军.国内外鱼道研究与建设[J].中国水利水电科学研究院学报,2005,3(3):222-228.
[5]郑铁刚,孙双科,柳海涛,等.基于鱼类行为学与水力学的水电站鱼道进口位置选择[J].农业工程学报,2016,32(24):7-9.
[6]狄高健,韩雷,田振华,等.细鳞河水库鱼道进口河段水力特性数值模拟研究[J].水利科学与寒区工程,2018,1(10):14-18.
[7]董志勇,冯玉平,AlanErvine.同侧竖缝式鱼道水力特性及放鱼试验研究[J].水力发电学报,2008,27(6):121-125.
[8]边永欢,孙双科.竖缝式鱼道的水力特性研究[J].水利学报,2013,44(12):1462-1467.
[9]包莉,安瑞冬.竖缝式鱼道的弯道布置及结构形式研究[J].水电站设计,2012,28(3):80-82.
[10]中华人民共和国水利部.水利水电工程鱼道设计导则:SL609—2013[S].北京:中国水利水电出版社,2013.
刘发智,韩雷,田振华,等.关门嘴子水库鱼道进口河段水力特性数值模拟研究[J].水利科学与寒区工程,2019,2(6):55-61.
分享:
水是生命之源,是所有生物的结构组成和生命活动的主要物质基础。同时,水资源是人类赖以生存和社会发展不可替代的资源。水资源的状况深刻影响着一个地区的全面发展,包括该地区的经济、文化、社会等各个方面。随着全球经济的高速发展,各国家工业化、城市化程度不断提高,全球水资源短缺和污染问题日益严重。
2025-01-07我国水资源总量丰富,但人均占有量少,水资源相对短缺,且经常发生水污染事件,有必要对水资源进行一定的保护。水环境质量评估是水环境保护与管理的基础性工作,而水环境是由多要素共同作用的复杂系统,因此水质评价属于典型的多目标决策问题。直接依据单指标评价确定水质等级过于片面,结果难尽如人意。
2024-11-14青藏高原因地处特殊,具有较高海拔,是很多河流的发源地。受高海拔特点的影响,这一地区的气候同样特殊,并且存在水资源分布不平衡等现象。另外,青藏高原受到全球气候变化的影响以及人类的不当活动,导致土地退化、水体污染等问题频频发生。当前,人类社会对自然资源的不当开采和利用问题已然成了全球生态危机的主要诱因。
2024-11-14《地表水环境质量标准》(GB 3838—2002)中规定,集中式生活饮用水地表水水源地中松节油的标准限值为0.2 mg/L,使用气相色谱法进行分析检测。准确测定水体中松节油含量具有重要意义。本研究通过对GB/T 5750.7—2023 第8部分:有机物指标中松节油的测量不确定度来源进行分析,找出测量不确定度的主要来源,以提高分析的准确度。
2024-11-13在《生活饮用水卫生监督管理办法》中,对涉水产品定义为“凡在饮用水生产和供水过程中与饮用水接触的联接止水材料、塑料及有机合成管材、管件、防护涂料、水处理剂、除垢剂、水质处理器及其他新材料和化学物质”。在《卫生部关于印发〈涉及饮用水卫生安全产品的分类目录〉(2011年版)的通知》中,将涉水产品分为输配水设备、防护材料、水处理材料、化学处理剂、水质处理器以及与饮用水接触的新材料和新化学物质六大类。
2021-09-13过洋性渔业是我国远洋渔业发展之初的主要形式,目前仍是远洋渔业的重要组成部分,在增加国内水产品供给和促进“一带一路”战略实施等方面发挥着重要作用。1991-1997年我国远洋渔业快速发展时期,过洋性渔业在印度洋沿海各国也进一步发展[1]。发展至今,印度洋捕捞产量保持增长趋势,是我国过洋性渔业最具开发潜力的海域之一[2]。
2020-12-14鲫鱼造血器官坏死病是最近几年开始发生、流行的鱼类一种病毒性疾病,该病的主要宿主是异育银鲫等杂交鲫鱼。大家都知道,血液的主要功能是运输物质。营养物质、氧、代谢产物、激素、进入体内的药物等都要通过血液运送,而一旦造血器官坏死,就会危及鱼类的血液循环系统,使得上述物质不能及时运送到鱼类的各器官中。
2020-12-12西伯利亚鲟(Acipenserbaerii)属鲟形目(Acipenseriformes)、鲟科(Acipenseridae)、鲟属(Acipenser)鱼类,是世界上优良的淡水鱼品种,也是现存于世界上最珍奇、最古老的亚冷水性生物鱼群之一,有“活化石”之称[1]。西伯利亚鲟为软骨硬鳞鱼,肉厚骨软,具有很高的经济价值和药用价值,同时鲟鱼卵可以加工成鲟鱼子酱,具有“黑色黄金”之称[2]。
2020-12-12近年来,牙鲆、大菱鲆和半滑舌鳎等海水鱼类的养殖产业发展迅猛,而随着养殖规模的不断增大,养殖对象的病害问题也愈发严重,给养殖户造成了巨大损失。多数弧菌作为条件致病菌广泛存在于海水养殖环境中,常常造成养殖对象病害频发,因此,有效降低养殖环境中的弧菌密度对减少病害、保障水产品安全意义重大。
2020-10-21活的敏感鱼类(包括亲鱼、鱼卵和鱼苗),用做鲜活饵料的鱼类(野杂鱼)及冰冻和冰鲜的敏感鱼类(包括去除内脏的鱼肉)TiLV传入风险较高,而敏感鱼加工类产品、非敏感鱼类(包括活的和其他形式的产品)及运输活鱼的水、包装、运输工具和用具等传入风险较低。建议不从疫区进口高风险产品,对于低风险产品可以自由贸易,而对运输活鱼的水、包装、运输工具和用具等要进行强制常规消毒。
2020-10-10人气:8318
人气:6716
人气:5943
人气:5764
人气:5606
我要评论
期刊名称:水产学报
期刊人气:4203
主管单位:中国科学技术协会
主办单位:中国水产学会
出版地方:上海
专业分类:农业
国际刊号:1000-0615
国内刊号:31-1283/S
邮发代号:4-297
创刊时间:1964年
发行周期:月刊
期刊开本:大16开
见刊时间:一年半以上
影响因子:0.698
影响因子:0.771
影响因子:0.000
影响因子:0.000
影响因子:0.000
您的论文已提交,我们会尽快联系您,请耐心等待!
你的密码已发送到您的邮箱,请查看!