2020-07-08
368
上传者:管理员
摘要:本文基于2007-2018年我国省级面板数据,构建PSTR分析框架实证检验互联网视域下城乡居民公共服务消费升级的非线性演化路径。研究发现:互联网视域下农村居民公共服务消费升级路径演化存在单一门槛,城镇地区存在双重门槛;互联网视域下农村居民公共服务消费升级非线性路径中的单一门槛值为40.5%,城镇地区的双重门槛值为41.7%和60.5%;互联网普及率低于40.5%时对农村居民公共服务消费的影响仅为0.084,高于40.5%后的影响为0.266;互联网普及率低于41.7%时对城镇居民公共服务消费升级的影响为0.122,41.7%-60.5%区间内的影响为0.318,高于60.5%后的影响为0.297。文章最后从强化互联网基础设施建设和缩小城乡地区互联网发展差距等方面提出对策建议。
加入收藏
相关文献评述
在“互联网+”战略的深入推进下,互联网对居民公共服务消费的影响成为广大学者关注的热点课题,而研究重点主要集中在两个层面:一是关于公共服务支出与消费升级的关系研究。肖建华等(2015)构建面板模型实证分析公共服务财政支出对居民消费升级的影响,研究发现教育类公共服务支出促进了城镇居民消费升级,但挤出了农村居民消费升级,而社会保障类公共服务支出对居民消费升级影响不显著。李峰等(2015)研究统筹公共服务与居民消费升级的机理,研究发现消费者心理账户、消费环境和消费风险等与公共服务支出关系最为显著,研究提出了合理分配城乡公共资源来推进经济高质量发展的对策建议。宋月萍(2019)基于人口结构视角分析公共服务支出与消费升级的关联性,研究发现婴幼儿医疗健康消费升级在人口流动家庭中受公共服务影响十分明显,学龄前儿童的教育升级明显,而老年人的医疗消费升级明显。
二是关于互联网普及影响居民公共服务消费升级的机制研究。江小涓(2018)基于文化和体育产业中的公共服务消费视角实证检验网络空间服务的效率和约束条件,研究发现文化和体育公共服务消费在互联网驱动下能够显著提高服务效率,但同时也面临着服务的“时间约束”,即居民消费中的时间成本正成为公共服务消费增长中的硬约束条件。高亚林等(2019)实证检验互联网促进公共服务消费升级的机理和路径,通过省级面板回归模型分析发现互联网普及对公共服务消费增长存在正向改善效果,但城市公共服务消费的增长受互联网因素影响更为明显。曾世宏等(2019)构建双固定效应面板模式实证检验互联网对公共服务消费升级的传导路径,并探讨传导中存在的异质效应,研究发现互联网普及通过提升城镇化率和人力资本两个途径来促进居民公共服务消费升级,城镇地区公共服务消费升级具有更高的互联网驱动边际效应。
可以看出,目前关于互联网普及对居民公共服务消费升级影响的研究大多采用传统的面板模型进行分析,而忽略了互联网普及过程中对公共服务消费升级存在的“量变引起质变”约束条件。另外,互联网普及在促进居民公共服务消费升级的非线性过程中是否也存在量能不足的拥堵效应,抑或程度过高的边际效应递减问题?有鉴于此,本文基于2007-2018年我国省级面板数据,构建PSTR分析框架实证检验互联网视域下城乡居民公共服务消费升级的非线性演化路径。
模型构建与变量说明
(一)PSTR模型构建
理论模型。假设传统的柯布-道格拉斯生产函数为:
Y(t)A(t)K(t)αL(t)β,(α>0,β>0)(1)
其中,经济系统中的产出、资本和劳动力分别用Y(t)、K(t)和L(t)表示,A(t)表示生产投入要素不变条件下技术进步带来的经济系统产出增加,一般设定为A(t)=A(0)egt,g为常数。(1)式满足以下条件:
dY/dK>0;dY/dL>0;d2Y/d2K<0;d2Y/d2L<0
假设居民公共服务消费均具有规模报酬不变的希克斯中性,则(1)式进一步深化的增长模型表示为:
Y(t)=Z(t)A(t)K(t)αL(t)1-α,(α<0<1)(2)
其中Z(t)代表居民公共服务消费,包括农村公共服务消费(RU)和城镇公共服务消费(CI),具体表示为:
Z(t)=Z(0)exp(RU;CI)(3)
将式(2)两边同时除以L(t)可以得到人均方程(4):
Y(t)/L(t)=Z(t)A(t)K(t)/L(t)α,(0<α<1)(4)
两边取对数得到:
Ln(Y(t)/L(t))=LnZ(0)+X+LnA(t)+αLnK(t)/L(t),(0<α<1)(5)
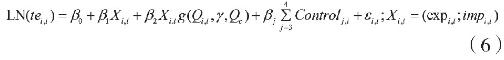
基于居民公共服务消费存在显著地区差异,在加入控制变量control后参照Destais(2009)等研究思路,将(5)式转换为面板平滑转移回归模型(6)来刻画参数随时间变化产生的非稳定效应:
其中,g(Qit,γ,Qc)为转换函数,本文选择的logistic转换函数(7)如下:
其中,平滑参数(γ)用来描述logistic转换函数的平滑程度。
非线性检验。本文在PSTR模型中通过构造辅助回归方程来进行线性检验,即对logistic转换函数在γ=0处进行一阶泰勒展开,检验体制转换效应显著性的辅助方程表示为:ε``i,t=εi,t+RmΦ`1Zi,t,其中,RmZi,t=(lnrnai,t,expi,t,impi,t,controli,t),logistic转换函数进行一阶泰勒展开后的剩余项为Rm。根据Gonzulez(2005)的研究思路,辅助方程中的线性假设H*0:φ`1=…φ`m=0与检验关系式(4)的线性假设H0:γ=0等价。因此,进一步构造以下统计量来考察模型提出的原假设H*0:
其中,原假设成立条件下的面板残差平方和为SSR0;备选假设成立下的面板残差平方和为SSR1;线性化无约束回归模型中辅助回归方程的残差平方和为SSRur。剩余非线性检验满足以下假设:H0:r=1或者H0:r=2,其中r为β系数的阶数,满足:。在r=2的备选假设成立条件下,模型表达为:
LN(tei,t)=β0+β1Xi,t+β2Xi,tg(Q(1)i,t,γ1,Qc)+β3Xi,tg(Q(2)i,t,γ2,Qc)+β3Controli,t+εi,t
其中,F统计量、LM统计量和pseudo-LRT统计量仍遵循渐近F(mk,TN-N-mk)和χ2mk分布。同时,为检验转换函数个数是否存在三个或以上,对假设H0:r=r*(r*≥3)以及备择假设H1:r=r*+1进行检验,即拒绝原假设则继续检验备择假设,直至无法拒绝原假设H0为止。
(二)变量说明
核心解释变量:互联网普及(IN)。该指标用互联网普及率衡量,反映某一地区互联网使用人数占地区总人数的比重。
被解释变量:公共服务消费(PC)。本文沿用广大学者的普遍研究思路(曾世宏等,2019),并考虑现阶段政府在公共服务财政预算支出的比例,以医疗养老、交通通信和文教娱乐三部分加总来测度公共服务消费。
控制变量:基于居民公共服务消费受城镇化率(UB)、人力资本(HC)、人口出生率(BT)及政府公共财政支出(PI)等因素的影响较大,本文以上述变量作为控制变量。其中,UB和BT有官方统计数据,HC以地区专科以上学历人口的比重表示,PI以公共服务消费中的三部分政府支出总和表示。
数据来源:本文实证数据的时间样本选择为2007-2018年;地区样本选择为除西藏以外的中国大陆其他30个省份(地区);各变量数据来自《中国统计年鉴》、《中国科技统计年鉴》、《中国人口与就业统计年鉴》以及各省份统计局网站;公共服务消费数据以2007年为基期进行平减,以消除价格因素的影响。
互联网视域下城乡居民公共服务消费升级的非线性路径检验
(一)门槛检验
互联网普及对居民公共服务消费升级的单门槛检验中,原假设非线性关系中不存在门槛效应,备选假设为存在单一门槛效应,根据构建的统计量F进行显著性检验,F=(S0-S1(τˆ))σˆ2,其中Si表示两变量不存在或存在单一门槛效应的残差平方和,σˆ2为残差方差。在单一门槛基础上进一步根据F统计值搜寻第二类门槛值,固定第一门槛值并确定对应的残差平方和最小值条件下进行双重门槛值的修正,其中冗余参数的处理依据Hansen(1999)提出的bootstrap方法进行F统计量临界值计算,拟合后的结果如表1所示。
表1结果显示:农村地区互联网普及对居民公共服务消费升级单一门槛显著性F值为81.75,通过了1%置信水平下的显著性检验,且P值小于0.05,而双门槛和三重门槛检验的F值未通过显著性检验;城镇地区互联网普及对居民公共服务消费升级的单一门槛和双重门槛效应都显著,其中单一门槛和双重门槛的显著性F值为47.08和21.39,均通过了1%置信水平下的显著性检验,且P值小于0.05。可以看出,农村地区互联网普及对居民公共服务消费升级存在显著的单一门槛效应,城镇地区则存在单一和双重门槛效应。
表1门槛效应检验结果
基于实证需要,本文重点对农村地区的单一门槛效应和城镇地区的双重门槛效应进行实证检验。首先,构建变量之间的似然比函数:LR(τ)=(S1(τ)-S1(τˆ))/σˆ2,根据Hansen(1999)提供的非标准LR统计量分布公式,可以推断出双重门槛中的LR(τ)≤c(α)(),故不能拒绝原假设。在95%置信区间进行农村地区单一门槛和城镇地区双重门槛检验,结果如表2所示。
表2结果显示:农村地区的单一门槛估计值为0.405,城镇地区的双重门槛值分别为0.417和0.605。为更清晰地理解门槛值的估计和置信区间的构造过程,根据门槛模型中的似然对比函数(α=0.05)分别绘制图1和图2。
根据图1,农村地区互联网普及对居民公共服务消费升级的影响存在两个阶段,即低影响阶段(IN≤40.5)和高影响阶段(IN>40.5);根据图2,城镇地区互联网普及对居民公共服务消费升级的影响存在三个阶段,即低影响阶段(IN≤41.7)、高影响阶段(41.7<IN≤60.5)和稳定阶段(IN>60.5)。
(二)门槛回归估计
基于门槛效应检验结果和门槛值筛选结果,通过软件STATA13.0分别对农村地区和城镇地区的互联网普及影响居民公共服务消费升级进行回归估计,具体结果见表3。
表3结果显示,农村地区和城镇地区的门槛回归系数均通过了显著性检验,总体估计有效验证了互联网普及对居民公共服务消费升级具有显著的非线性和多重均衡影响特征。根据农村地区(RU)的回归结果:互联网普及对居民公共服务消费升级存在单一门槛效应,当农村地区互联网普及率低于40.5%时,影响系数为0.084,即互联网普及率每提升1%将促进农村公共服务消费增长0.084%;当农村地区互联网普及率高于40.5%时,影响系数为0.266,即互联网普及率每提升1%将促进农村公共服务消费增长0.266%。可以看出,互联网在农村地区的普及率达到一定门限值后能够显著促进居民公共服务消费增长。本文认为,现代化城镇化建设离不开互联网的普及,而现有研究已经发现互联网是城镇化内生的必要条件(江小涓,2018),因此农村地区互联网普及率的提升通过城镇化的“集聚效应”、“示范效应”和“优化效应”提高了农村居民公共服务消费水平。
根据城镇地区(CI)的回归结果:互联网普及对居民公共服务消费升级存在双重门槛效应,当城镇地区互联网普及率低于41.7%时,影响系数为0.122,即互联网普及率每提升1%将促进城镇公共服务消费增长0.122%;当城镇地区互联网普及率在41.7%-60.5%区间内时,影响系数为0.318,即互联网普及率每提升1%将促进城镇公共服务消费增长0.318%;当城镇地区互联网普及率高于60.5%时,影响系数为0.297,即互联网普及率每提升1%将促进城镇公共服务消费增长0.297%。可以看出,互联网在城镇地区的普及率在一定门限区间能够显著促进居民公共服务消费增长,在超过一定门限值后有所回落但仍保持正向稳定促进效应。本文认为,城镇地区公共服务业的发展也离不开城镇化带来的人口集聚,因此互联网的普及显著促进了居民公共服务消费水平的提升,但是由于城镇化对公共服务消费存在“累积效应”和“边际效应”,因此当互联网普及率达到一定程度后受边际效应递减有所回落,但在“累积效应”下仍能够保持高位的稳定促进效应。
表2门槛值筛选结果
表3互联网普及对居民公共服务消费升级的门槛回归估计结果
图1农村地区单一门槛值估计似然比函数图
图2城镇地区双门槛值估计似然比函数图
结论与建议
居民公共服务消费升级是中国经济发展方式转变的重要切入点。本文基于2007-2018年我国省级面板数据,构建PSTR分析框架实证检验了互联网视域下城乡居民公共服务消费升级的非线性演化路径。主要研究结论如下:互联网视域下农村居民公共服务消费升级路径演化存在单一门槛,城镇地区存在双重门槛。互联网视域下农村地区居民公共服务消费升级的非线性路径存在低水平阶段(IN≤40.5)和高水平阶段(IN>40.5);城镇地区居民公共服务消费升级的非线性路径存在低水平阶段(IN≤41.7)、高水平阶段(41.7<IN≤60.5)和稳态阶段(IN>60.5)。农村地区互联网普及率低于40.5%时,对居民公共服务消费升级的影响为0.084,互联网普及率高于40.5%后的影响为0.266;城镇地区互联网普及率低于41.7%时,对居民公共服务消费升级的影响为0.122,互联网普及率在41.7%-60.5%区间内的影响为0.318,超过60.5%后的影响为0.297。
基于实证结论,本文得出的政策含义如下:一方面,强化互联网基础设施建设,提升互联网普及率。互联网应用极大促进了社会生产率的提升,对居民公共服务消费升级具有显著促进效果,因此应进一步健全城乡地区的互联网基础设施建设,通过互联网在居民生活中的高渗透率提升公共服务消费水平。但是,政府部门也应重视互联网的“双刃剑”作用,在互联网普及率提高的同时加大监管力度,制定并完善针对公共服务消费的互联网应用法律法规,保障互联网用户的公共服务消费权益与安全。另一方面,缩小城乡地区的互联网发展差距。互联网普及对农村地区公共服务消费增长的贡献度在达到一定门限后效果显著,而城镇地区在达到一定门限后边际效应递减现象明显。现阶段,我国城乡发展差距体现在互联网建设方面仍十分突出,因此在加快现代化城市建设的同时,需兼顾落后地区互联网技术基础设施建设,从而提高落后地区公共服务消费水平。
参考文献:
[1].辛冲冲,陈志勇.中国基本公共服务供给水平分布动态、地区差异及收敛性[J].数量经济技术经济研究,2019,36(8):52-71
[2].肖建华,黄蕾,肖文军.社会性基本公共服务财政支出与居民消费关系的实证分析—基于2007~2012年省级面板数据[J].财经理论与实践,2015,36(2):89-94
[3].李峰,赵怡虹.新常态下统筹城乡公共服务促进农民消费的作用机制研究[J].当代经济管理,2015,37(9):40-43
[4].宋月萍.流动人口家庭成员年龄构成、公共服务与消费研究[J].人口与发展,2019,25(2):86-96
[5].江小涓.网络空间服务业:效率、约束及发展前景—以体育和文化产业为例[J].经济研究,2018,53(4):4-17
[6].高亚林,曾世宏,王宏龄.互联网促进公共服务消费需求升级的机理与路径—基于我国省级面板数据的经验研究[J].石河子大学学报(哲学社会科学版),2019,33(2):18-26
[7].曾世宏,高亚林,邹凭佑.互联网普及促进公共服务消费升级的机理路径及其多重效应[J].产业经济评论,2019(4):88-108
[8].吕昭河,翟登.互联网技术对人口迁移的跨时期空间效应研究—基于省级面板数据的分析[J].中国人口科学,2018(3):26-38+126
[9].马泽波.基本公共服务供给水平对城乡居民消费差距的影响—基于中国省际面板数据的实证检验[J].云南农业大学学报(社会科学),2019(5):73-79
[10].支振锋.网络安全风险与互联网内容治理的法治化[J].改革,2018(1):44-46.
王鹏飞.城乡居民公共服务消费升级的非线性演化路径研究[J].商业经济研究,2020(13):45-48.
分享:
近年来,气象因素的健康效应成为国内外研究的热点,尤其是气温的变化对人体健康的影响得到了重点关注[1]。文献报道极端恶劣天气(高温、低温)引起人群死亡数的增加,尤其是对温度较为敏感的心脑血管疾病及呼吸系统疾病。此外,相关研究显示,寒潮结束之后心脑血管疾病死亡人数并没有立即下降,而是呈现缓慢下降的趋势[2]。
2020-07-08近年来,气象因素的健康效应成为国内外研究的热点,尤其是气温的变化对人体健康的影响得到了重点关注[1]。文献报道极端恶劣天气(高温、低温)引起人群死亡数的增加,尤其是对温度较为敏感的心脑血管疾病及呼吸系统疾病。此外,相关研究显示,寒潮结束之后心脑血管疾病死亡人数并没有立即下降,而是呈现缓慢下降的趋势[2]。
2020-07-08居民公共服务消费升级是中国经济发展方式转变的重要切入点。本文基于2007-2018年我国省级面板数据,构建PSTR分析框架实证检验了互联网视域下城乡居民公共服务消费升级的非线性演化路径。主要研究结论如下:互联网视域下农村居民公共服务消费升级路径演化存在单一门槛,城镇地区存在双重门槛。
2020-07-08本文提出一种大功率馈源产品扼流法兰结构设计及形式,实现了低PIM目标。通过仿真和试验结果显示,利用扼流法兰可降低PIM值40dB以上,而对于其他非三阶频率点的交调性能则通过传统的增强法兰压强的方式来改善,说明了设计的可行性。另该结构已应用于星上产品,并与国外产品比较,前景广阔并具有重要应用意义和价值。
2020-06-30本文研究了环氧基三氧化二铝及非线性材料碳化硅复合电介质材料制备工艺,测试了不同SiC掺杂含量的环氧基氧化铝复合材料电荷积聚及电荷消散特性;尝试采用非线性材料掺杂的方法对盆式绝缘子模型及支柱绝缘子模型进行直流电压下的局部电场优化,结合SF6下的沿面闪络试验结果,探究了非线性材料在直流盆式绝缘子及支柱绝缘子中应用可行性。
2020-06-30近年来,在全球范围内得到了大规模发展。全球风能理事会统计数据表明[1]风能已经成为全球能源结构的重要组成部分,对缓解环境污染发挥着越来越重要的作用。风电叶片作为风电机组的关键部件是能量吸收的载体,占据机组约20%的成本,同时,也是风电机组载荷的主要来源,风电叶片的强度和可靠性对风电机组的寿命和能量输出至关重要。
2020-06-30国内外众多学者曾经对道路交通安全风险度量进行研究探讨,试图揭示道路交通事故风险因子耦合机理及其耦合作用大小。本文在道路交通事故致因分析的基础上,拟构建重特大交通事故人-车-路风险耦合模型,探讨交通事故风险因子的动力学演化规律及其耦合权重,旨在为精准防控重特大交通事故的危险源提供理论指导。
2020-06-29频域等效线性法在运动方程的求解方面可以认为是精确的,但是由于在处理土的非线性特性时,采用了等效线性化的方法,不能真实的反应土体的非线性特性,使得等效线性方法在处理地震动较强、土层较软的场地时,其计算结果不合理。为了解决这一问题,则需要进行土层地震非线性反应分析,其核心是发展实用的土体动力本构模型。
2020-06-29本文基于ANSYS有限元分析平台建立了螺旋箍筋柱的精细化有限元分析模型,利用既有的试验结果进行了模型验证。在此基础上,开展了有一定初始偏心的不同直径和长细比的螺旋箍筋柱轴心受压破坏过程的数值模拟,分析了长细比对螺旋箍筋柱轴心受压性能的影响规律,并提出了螺旋箍筋柱轴心受压承载力计算公式中稳定系数的取值建议。
2020-06-29在颤振边界预测方面,美国NASA基于线性鲁棒颤振分析的飞行颤振试验方法趋于成熟并逐步应用于各类飞行试验中[26,27],同时开发完成了这类飞行颤振试验在线估计分析工具。非线性气动弹性系统的鲁棒性分析也逐渐成为研究热点,许多学者提出了多种分析方法对非线性颤振和极限环进行预测,不确定性建模特别是模型确认方面的研究也逐步展开。
2020-06-29我要评论
期刊名称:系统科学学报
期刊人气:1226
主管单位:山西省教育厅
主办单位:太原理工大学
出版地方:山西
专业分类:科学
国际刊号:1005-6408
国内刊号:14-1333/N
创刊时间:1993年
发行周期:季刊
期刊开本:大16开
见刊时间:1年以上
影响因子:1.570
影响因子:1.594
影响因子:2.114
影响因子:1.228
影响因子:1.066
您的论文已提交,我们会尽快联系您,请耐心等待!
你的密码已发送到您的邮箱,请查看!