摘要:基于学者的研究及世界各国、组织的实践,从税收公平、税收效率及税收中性原则对C2C进行税收征管的必要性进行论证;基于演化博弈模型给出了税务机关和C2C纳税主体在长期博弈中的策略选择,得出经过长期博弈后,博弈双方不存在EES;应纳税所得额与稽查概率成正比等结论。最后,基于博弈结果和存在的问题以及税收征管的必要性给出了加强普法宣传、有限度数据共享、协同治理等建议。
加入收藏
C2C消费需求共享的特点让传统企业不再是消费者需求的唯一来源。消费总需求不变的情况下,当互联网携带大量个体进入,市场将会迎来一轮利益的重新分配。不可否认,C2C的出现提高了就业及交易效率,让购物变得简单,促进了社会经济的发展。但是,C2C的大规模崛起,对原有的市场准入、不正当竞争、税制以及传统交易体系产生了巨大的冲击。
传统监管体制在面对网络平台创造的双边信息平台、个人供应者以及个人消费者这种三方关系时出现了不适应的现象。传统监管体制的设计主要针对B2B和B2C两种交易类型。而C2C交易涉及众多行业,甚至直接产生一种新兴的商业类型,这让原有的监管体系难以与之匹配。同时,大量没有进行工商、税务登记的个体涌入市场,造成了税收流失、行业准入、不公平竞争等问题。C2C的这些特点以及税收监管的缺失不仅造成了我国大量的税收流失,而且对税收公平、税收中性等原则造成了冲击。
1、文献综述
国外针对C2C的税收征管研究主要有两点:一是针对C2C是否征税进行的研究,例如Austan(2011)发现,美国政府为了促进电子商务的进一步发展让其处于免税状态,而欧盟从税收公平的角度出发坚持对电子商务进行征税。二是针对C2C如何征税进行的研究,例如加拿大税收专家Arturo(1994)提出以互联网数据为单位进行税收征管。
此外,世界各国及组织对电子商务的税收征管做了如下研究及实践:
美国在电子商务上坚持税收中性原则、属地原则、一次性征税原则。在征管电商时,与现有的税制相联系,不随意增加税种,不脱离企业实际承担税负的能力。同时,美国还加强与各国之间的合作交流,避免对电子商务进行重复征税;
加拿大认为应该进行征税但不能阻碍电商的健康持续发展,把交易中销售方的居住地认定为常设机构所在地,由所在地的税务机关对其进行税收征管,以解决税收管辖权问题;
OECD(经合组织)认为如何应对税收的征收管理过程中出现的问题是电商税收征管的最主要任务。
我国围绕电商税收征管的研究主要有以下几个方向:一是研究“互联网+”背景下的税收征管面临的挑战及应对。例如,储德银(2018)通过研究网络购物等的交易规模及模式来分析税收征管面临的挑战,并进一步提出了加强纳税人管理、合理确定收入类型等建议。二是研究我国国情下的电子商务是否征税。例如,王立岩(2017)从现代税收原则出发论证了C2C税收征管的必要性并提出规范C2C税收征管、对C2C实行优惠政策等建议措施。三是探讨某个具体的税种。例如林颖等(2018)针对个税的减税政策进行了系统梳理并提出了对综合劳动所得的征管配套建议。
综上所述,国内对电商税收征管的研究主要有征管模式、税收流失、特定税种的专项研究等,呈现出定性分析少,研究方法和手段单一,说服力弱的特点。这说明国内对于C2C税收征管的主体研究不够深入。
2、C2C电子商务税收征管的必要性论证
2.1防止税收流失
根据商务部发布的《2018年中国网络零售发展报告》,2014-2018年我国的网上零售额分别为2.79万亿、3.88万亿、5.16万亿、7.18万亿、9.01万亿。从交易数据上可以看出C2C市场交易规模十分庞大。随着我国C2C市场的繁荣、移动支付手段的快速发展、社交网络的兴起、交易环节的简化、地域流动性的增强,带来了增值税、个税、关税等税收方面的问题。
我国在增值税上实行“生产地原则”制度,即以生产销售产品或劳务的“机构所在地”作为纳税地点。C2C跨境交易频繁、交易地点难确定、交易商品属性难确定等特性使得产生销售产品或劳务必然导致增值税税收归属地与税负归属地产生偏差;个人所得税,C2C的购销双方均为个人,因而该对其进行个税征收。但是,个人店主能够通过使用不同的身份来影响其个税的计税依据;关税,虽然我国海关设立了入境快递以50元作为起征点以及降低个人起征点的规定,但适用于个人的税率和适用于经营生产的税率并不相同,因此起征点的降低并没有解决关税流失问题。
2.2税收公平原则
在对C2C进行税收征管的过程中,税务机关应该严格按照税法的规定进行征收,对市场上所有参与者使用相同的标准和税收待遇。按照该原则,我国的流转税大多数使用比例税制,然而C2C交易中的课税对象是难以确定的,如果按照小规模纳税人采用一刀切的方式对C2C纳税主体进行征税显然有悖于税收公平性原则。
2.3税收效率原则
在税务机关实际收缴税款的过程中将会涉及到税收效率原则。与传统交易不同,C2C通常通过网络媒体完成交易,整个过程不产生具有法律效力的纸质文件,由此,税务机关即使针对C2C纳税主体进行税收的稽缴核查付出数倍于传统涉税行为的努力也难以有效监控C2C纳税主体,同时这种稽缴核查由于C2C纳税主体的众多以及进出的频繁还会导致税务机关征税成本的提高。而如果税务机关不计成本稽查C2C纳税主体,又必然会抑制C2C的发展,这又违背了我国目前支持电商发展的基本政策。所以税收效率原则在税务机关对C2C纳税主体进行稽缴核查的过程中必须要考虑其适用性及适用程度。
2.4税收中性原则
税收中性原则意为国家征税导致社会所付出的代价应该以税额为限,不能扰乱市场经济的有效运行。即国家履行税收的再分配任务,对总收入造成影响而不对市场和资本造成大的影响,不对人民的生产和消费产生大的影响。C2C市场成本低、风险低、交易便利等特点,导致越来越多的经营主体放弃传统的交易模式,转而选择社交营销(小红书)、直播营销(淘宝)、微商(微信)等交易模式,使得越来越多的资金从实体市场流向了电商市场。而由此带来的偷税等问题也日益严重,例如以“彤彤屋”案例为首的以C2C名义进行着B2C交易以达到偷税目的的行为严重违反了税收中性原则,长此以往,必将对我国市场资本结构、产品及税收造成消极效果。
3、C2C电子商务征税主体演化博弈分析
从研究方法上来看,博弈模型是研究C2C电子商务的有力工具之一。例如:苗苗(2012)等构建完全信息静态博弈和重复博弈模型来分析探讨在C2C交易过程中交易双方存在的问题。王立岩(2017)使用混合决策博弈模型分析了税务机关和经营主体之间的博弈情况以及利益均衡。杨丰梅(2016)等基于演化博弈和双价交易模型探讨了第三方平台对C2C卖家的信用监管。在这些博弈模型中,演化博弈把群体决策看成一个动态系统,认为行为人不能在经济活动中做出实时、准确的决策和判断,且将时间作为一个非常重要的因素,并强调博弈双方需要通过不断的学习和模仿来达到均衡状态,从正面给出了博弈人应该怎样去进行策略选择。因此,基于C2C税收征管问题的分析和必要性的论证,在下文中,我们将通过演化博弈的方式来观察《电子商务法》要求C2C进行税务、工商登记后,博弈的双方将会怎样围绕税收征管进行策略选择。
演化博弈以有限理性的行为主体作为基础,认为博弈方无法对信息变化做出迅速的最优反应,分析博弈成员的策略调整过程、演化趋势和稳定性,强调变化的动态过程。在演化博弈模型中,“演化稳定策略(EES)”和“复制动态方程”是两个重要的概念。EES指,在博弈方动态策略调整中会达到对少量偏离的扰动有稳健性,即对群体中所有成员都采取这种策略。复制动态方程是一个动态的微分方程,用来描述某一个特定策略在一个群体中被采纳的比例。
显然,税务机关和C2C纳税主体之间使用演化博弈更能够描述随着时间的变化双方将会进行怎样的策略选择。
3.1模型假设
C2C征纳双方在进行策略选择时所面临的现实环境是相当复杂多变的,为便于研究,本文提出以下假设:
假设1:博弈的参与主体为C2C纳税主体和税务机关,且双方是有限理性的。
假设2:纳税主体可选择“缴税”或“不缴税”策略,税务机关有“稽查”和“不稽查”两种策略。
假设3:为使研究简化,文章仅考虑基于比例税率征收所得税的情况。
假设4:收益矩阵
C2C的经营,会根据其所经营的业务范围划分为不同的税率区间,由此假设C2C纳税主体的应纳税所得额为P、所得税税率为R[R∈(0,1)];而当税务机关对纳税主体的税款展开稽核时,税务机关产生稽核成本C(C<PR);同时假定当纳税主体不缴税时税务机关一旦选择稽查就会查出纳税主体的不缴税行为,当查出纳税主体的不缴税行为时,税务机关将对纳税主体做出补缴税款PR以及缴纳罚金F的处罚。参数含义及收益矩阵如表1、表2所示。
表1得益矩阵中的参数意义
表2博弈双方的得益矩阵
3.2演化博弈模型的建立及求解
假设在博弈中,选择缴税策略的纳税主体的比例为X,则选择不缴税策略的比例为1-x;选择稽查策略的税务机关的比例为y,则选择不稽查策略比例的为1-y。根据演化博弈的思想,有限理性的行为主体有一定的统计分析能力和不同策略收益的时候辨别能力,收益较差的行为人早晚会发现这种差异,并开始学习模仿另一类行为人。因此行为人的比例是随着时间而变化的,即x,y通常是时间t的函数。
首先分析C2C纳税主体的选择策略。设,选择缴税的纳税主体的期望收益为u1y,选择不缴税的纳税主体的期望收益为u1n,纳税主体的平均收益为u1:
此时,C2C纳税主体的复制动态方程为:
其次,分析税务机关的选择策略。设,选择稽查的税务机关的期望收益为u2y,选择不稽查的税务机关的期望收益为u2n,而税务机关的平均得益为u2:
此时,税务机关的复制动态方程为:
利用式(4)和式(8)两个复制动态方程来求取均衡点。
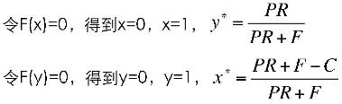
由此,找到E1(0,0)、E2(0,1)、E3(1,0)、E4(1,1)、E5(x*,y*)五个均衡点。用方程(4)和方程(8)两个微分方程来描述C2C纳税主体和税务机关之间的博弈。通过分析方程(4)和方程(8)的雅克比矩阵A的行列式detA的符号以及trA的符号来分析上述五个均衡点的性质。雅克比矩阵如下:
将均衡点带入雅克比矩阵A中;若detA符号为“+”,且对应的trA符号为“-”则对应的点是稳定点;若detA的符号为“+”,对应的trA符号为“-”,则该点为不稳定点;若detA符号为“-”,则对应的点为鞍点。由计算结果可知,E1、E2、E3、E4的detA<0,则E1、E2、E3、E4为鞍点,而由E5的detA<0且trA=0可知E5为中心点。根据局部分析发对系统稳定性进行分析,得到博弈双方动态演化路径,如图1所示:
图1:博弈双方演化博弈的动态相位图
由图1知,税务机关和C2C纳税主体之间经过长时间的调整从初始状态经过一系列的调整后达到中心点E5。即在税收征管的过程中,博弈双方并没有固定的策略,而是围绕一定的概率来进行调整,而这个概率则和双方的初始状态的选择相关。
由图1和x*、y*可以看出,在R和P以及C不变的情况下,当税务机关增加罚款F时,C2C纳税主体缴税的概率将会增加,而税务机关选择稽查的概率将会降低,从图1来看中心点E5将移向E3的区域,即税务机关会大概率选择不稽查,而C2C纳税主体会选择缴税。当其他数据不变而降低税率时,C2C纳税主体的缴税概率以及税务机关稽查的概率都将增大,中心点E5将会向E4所在的区域移动,即C2C纳税主体会缴税概率和税务机关的稽查概率都将增大。除此之外还可以看出,C2C纳税主体的应纳税所得额与税务机关的稽查概率成正比,及应纳税所得额上升时,税务机关的税务稽查概率将会增大,这与现实情况相符。
从以上分析可以得出,税务机关、C2C纳税主体之间在经过长期的动态博弈之后不存在EES。应纳税所得额上升时,税务机关对其的稽查概率也将会提升;税务机关增加罚款有利于提升C2C纳税主体的缴税概率并降低自身的稽查概率,间接节省了税务机关的稽查成本,提升了收入再分配效率。除此之外,当税率降低时,税务机关有更高的概率对税款进行稽查,而C2C纳税主体也会有更高的缴税概率。显然,以上分析及演化过程与现实情况相符。
4、C2C税收征管相关法律、技术的完善建议
4.1调整并完善C2C涉税税法
(1)增值税。税收使得政府成为了所有企业的“最大的小股东”以及一股重要的企业外部治理力量,作为一种企业外部治理力量,增值税税率的调节成为国家为企业减轻税负的重要手段。针对C2C纳税主体规模难以确定的问题,考虑到C2C拥有众多年销售额不足500万的经营者,且他们的会计资料基本不健全,税务意识淡薄,因此对这类型经营者可以按照小规模纳税人对其进行税收征管,同时为了促进C2C电子商务的发展,可以给予其一定程度的税收优惠,以减少C2C纳税主体在缴纳增值税过程中偷逃税款的现象。针对C2C涉税行为确定的问题,应该在税法中对C2C纳税主体的增值税涉税行为,尤其涉及数字商品交易的行为进行可以具体实施的明确规定。此外,考虑到C2C交易中的课税对象难以确定,税法还应该针对课税对象做出明确规定。
(2)个人所得税。依托于新个税法的施行,根据电商法的规定C2C纳税主体需进行税务登记和工商注册,这部分依托于第三方平台的C2C纳税主体可以纳入税务机关的监管范围。通过社群营销模式进行交易的C2C纳税主体可以通过网银、与社交媒体有限度合作通过获取收入流水等涉税信息进行税收征管。
(3)关税。我国目前应当与国际上的观点相适应,对C2C征收较低关税,修改目前关税中与C2C交易模式不适应的条款,或针对C2C的关税征收进行明确规定。
(4)印花税。该税种的征收管理可依赖于强制性在电子税票上进行贴花的方法进行税收征管。
同时需要加大普法活动的宣传力度,让更多的纳税人形成依法纳税和我纳税我光荣的意识。
4.2搭建有限度的信息共享平台,加强协同治理
在对C2C进行征税的过程中,税务机关对其进行稽缴核查的前提是掌握纳税义务人的税务数据,由此,税务部门与第三方平台的数据共享就显得尤为重要。然而,C2C平台对入驻商家的数据在法律上是负有保密义务的,这和税务机关的数据共享需求产生了冲突。因此,在综合考量税收获得的公共利益、C2C纳税主体规模以及个人信息安全之后,笔者认为:税务机关与C2C纳税主体进行以“销售额”为核心数据的涉税数据共享是重要且可行的,涉税数据之外的信息,仍由平台依法为入驻商家进行保密。
目前有众多的学者认为“在税收征管中应将第三方平台设定为代扣代缴的角色”。然而,从平台自身利益以及法律的角度来说,第三方平台不适合作为代扣缴义务人,而应该成为税收的引导者,以实现税务机关、第三方平台、C2C纳税主体共赢的局面。原因:其一,对平台而言,进行税务的代扣代缴,平台所付出的人力、物力等成本将会增大,并且要面临着因其履行代扣代缴而出现纰漏的法律风险和责任;其二,对C2C纳税主体而言,主动纳税有利于深化其纳税意识,同时提高其税务参与感;其三,对税务机关而言,可以节省让第三方平台进行代扣代缴的服务费。
综上,税务机关应该与第三方平台合作,共享C2C纳税主体的店铺名称、身份信息、销售额等税务数据以加强税收程序的高效性、公平性、合法性、合理性以及重要性。
4.3刚柔并济的税务治理
在针对C2C的税收征管中,税收征管手段和法律法规属于强制性约束手段,提高C2C纳税主体的意识以及纳税遵从度则属于柔性手段。在进行普法教育、加强纳税意识的培养以及纳税文化宣传教育的同时也不放弃依靠税务、工商登记等强制性手段保证税收拥有强制征收的底线。党的十八届三中全会已经明确指出将推进现代化的国家治理能力和体系作为深化改革的总目标,国家税收应该从传统的税务登记、扣缴义务人制度等强制性手段转向税收的综合治理,偏向于纳税文化的宣传,纳税意识和纳税遵从度的引导和培养,让纳税人形成“纳税光荣”的意识。
4.4电子税票的全面推行与使用
在传统的交易活动中,发票一直作为税收征管依据的重要凭证,它在交易过程中的作用和地位是无可比拟的,“以票控税”也是我国一直采用的税收政策。而C2C这一交易模式的整个交易过程几乎在网上完成,交易双方的“开票”意识淡薄。由此可考虑与第三方平台合作研发基于“金税”系统的电子发票税控软件,搭建涉税信息交互平台,实现涉税信息的交换,形成涉税信息在采集、管理、分析、应用等方面的流程化管理。
4.5加强信息化人才培养及区块链技术的应用
区块链具有历史可追踪性、透明性、不可篡改性、分布式存储等特点。税务机关可以利用这些性质与工商、银行、第三方平台等机构合作共建基于区块链的税务共享平台,以该平台来对C2C纳税人的纳税不遵从行为进行纠正,对纳税人进行纳税评估、信用评级和税收征管。开发基于区块链技术的电子税票,将应纳税人的税号与电子税票相关联,依托于区块链的不可更改和透明性来对应纳税人实施税收征管。
从实际情况看,各地税局正在积极开展产学研合作开发基于区块链的税务系统。例如:深圳国税局与腾讯联手创建了税务创新实验室,融合了人工智能、大数据、区块链等,使用这些技术来推动税收征管以及电子发票的迭代更新。
此外,税务机关应该在开发出相关分析软件和模型的基础上着重于对工作人员进行税务数据分析能力的培养,同时对具备统计分析、税务知识、计算机技术等能力的综合性人才采用引进策略,以加强我国税务的信息化建设。
5、结论
本文分析《电子商务法》实行后仍然存在的税种、税率、课税对象、技术手段等方面存在的问题,并基于演化博弈的思想提出了在实行电商法后税务机关和C2C纳税主体的长期博弈结果,针对C2C的税收征管问题给出了建议,希望通过对《电子商务法》施行后C2C行业仍然存在的税收征管问题的研究,为研究C2C税收征管的学者抛砖引玉,为我国的税务工作贡献绵薄之力。
参考文献:
[1]杨骁一.我国C2C电子商务的税收征管问题研究[D].首都经济贸易大学,2017.
[4]储德银,左芯.“互联网+”背景下加强税收征管面临的挑战及应对[J].税务研究,2018,(7):120-124.
[5]袁娇,陈彦廷,王敏.“互联网+”背景下我国税收征管的挑战与应对[J].税务研究,2018(9):82-88.
[6]王立岩.基于混合决策博弈的C2C电子商务征税问题研究[J].技术经济与管理研究,2017(7):8-12.
[7]林颖,王伟域.综合劳动所得个人所得税:减税效果及征管配套[J].税务研究,2018(11):38-42.
[8]郁晓,赵文伟.B2C电子商务对地区增值税税负影响研究[J].财经论丛,2019(4):26-36.
[9]杨丰梅,王安瑛,吴军,等.基于博弈论的C2B2C模式下电商信用监管机制研究[J].系统工程理论与实践,2017,37(8):2102-2110.
[10]李晖.增值税纳税人分类制度探讨[J].税务研究,2019(2):37-40.
陈志芳,王艺霖.演化博弈视角下的C2C税收征管问题研究[J].电子商务,2020(06):50-53.
基金:云南省哲社重点课题“云南省自然资源资产负债表编制框架体系研究”(项目编号:20160004)的阶段性研究成果.
分享:
实现具有中国特色社会主义的乡村振兴,实现农业强、农村美、农民富,必须走科技兴农之路,运用辩证法关于普遍联系和对立统一的规律大力发展智慧农业、推广智慧农业、振兴乡村经济是民族复兴的大问题。正如习近平总书记在吉林考察时强调的:“让农民用最好的技术种出最好的粮食。”
2020-10-21IoMaT与IoT不同,其感知终端通信环境面临许多的挑战。TSOR改进了传统的机会路由策略,在降低通信负载、网络开销和提高网络寿命和交付率方面取得了进步。但是我们发现,所采用的网络模型在全局能量平衡问题上仍有可以进步的空间,未来可以根据不同深度节点的通信负载与能耗的关系,全面地考虑实现高效且可靠的路由策略。
2020-10-19有关恩格斯自然辩证法与马克思哲学的关系问题一直是中外学界高度聚焦且至今未果的学术难题。本文在梳理所谓自然辩证法与马克思哲学之“对立”说的基础上,通过厘清《自然辩证法》创作的理绪背景,特别是被长期遮蔽的德国自然哲学传统与恩格斯学理运思的意向性期待,再比照马克思哲学的理论内核,凸现二者的内在关联,以期为该难题的终极求解提供一条新路。
2020-10-19干旱是全球最为常见的自然灾害。据统计,我国每年发生的自然灾害中,气象灾害占到了70%,而干旱占到了气象灾害的50%,干旱的发生频率远远超过了其它气象灾害。干旱具有持续时间长、影响范围大、危害程度高等特点。近来不断发展的传感器技术及图像处理方法为旱情的快速、自动、全面化监测开辟了一条新途径。
2020-09-05海德格尔的思想深刻地影响了其后的哲学家乃至相关哲学流派的“生成”,安德鲁•皮克林的科学实践建构思想对于人与物的后人类主义阐释,可以看作是对海德格尔有关人与物分析之基本思想的承继与发展,但鉴于他是在科学哲学的背景下阐释人与物的开放性本质,因此在具体的阐述路径上与海德格尔的纯然存在论的思路又必然有着重要的区别。
2020-07-10感受质是目前心灵哲学中用来拒斥物理主义而提出的一个重要的概念工具。通常认为,“所谓感受质就是所予的可识别的质性状态的一个例示,是不同于物理性质的一类特殊的主观性质。”[1]感受质通常表现为一个有意识的主体所能够意识到的一种现象的质的特征。对这一特征产生的原因和机制的解释是一个重要的哲学难题。
2020-07-10从当前的分析检测行业发展情况来说,智能实验室的管理实践中,借助人工智能的技术发展,使得仪器设备管理优化,不断提高仪器设备使用效率,推动实验室标准化发展以及运行。引入现代化技术手段,提高仪器设备标准化,有助于增强实验室的智能化,切实提升实验室价值与效率的发挥。
2020-06-20本文提出基于BIM技术的电子信息化控制工程成本管理控制模型。该模型采用BIM大数据信息化管理和特征分析的方法,建立电子信息化控制工程成本管理的约束参数模型结合回归分析和统计检验的方法,进行电子信息化控制工程管理成本的优化预测,实现工程管理成本的优化预测,最后进行实验测试分析,得出有效性结论。
2020-06-16近几年我国自然灾害频发,如2019年的四川凉山三县的森林火灾灾害,以及不久前发生的四川宜宾地震灾害,还有6月13日发生的江西洪灾灾害。其中,2008年的汶川地震是近几年来发生的影响最大、造成损失最严重的自然灾害事件。而且随着社会的发展,一旦发生大型自然灾害会对社会的经济活动造成较大的影响和损害,所以,人们对应急救灾的要求越来越高。
2020-06-10C2C交易涉及众多行业,甚至直接产生一种新兴的商业类型,这让原有的监管体系难以与之匹配。同时,大量没有进行工商、税务登记的个体涌入市场,造成了税收流失、行业准入、不公平竞争等问题。C2C的这些特点以及税收监管的缺失不仅造成了我国大量的税收流失,而且对税收公平、税收中性等原则造成了冲击。
2020-06-10我要评论
期刊名称:大众科学
期刊人气:1756
主管单位:当代贵州期刊传媒集团
主办单位:当代贵州期刊传媒集团
出版地方:贵州
专业分类:科学
国际刊号:1002-6908
国内刊号:52-1049/N
邮发代号:66-19
创刊时间:1980年
发行周期:月刊
期刊开本:16开
见刊时间:4-6个月
影响因子:0.007
影响因子:0.325
影响因子:1.064
影响因子:0.620
您的论文已提交,我们会尽快联系您,请耐心等待!
你的密码已发送到您的邮箱,请查看!