摘要:人行道设计过程中存在很多问题,异形区段人行道铺装变化突兀、局部效果差等较为明显,探讨利用几何优化的方式,对市政道路交叉口处人行道铺装进行完善,使异形区段人行道铺装问题迎刃而解。
加入收藏
人行道作为慢行交通的主要空间,其路面结构铺装也作为城市道路硬质景观的一部分,协调、错落有致的人行道铺装样式有利于提高城市道路观赏性。交叉口作为铺装设计和施工的薄弱点,较直线段相比,对设计、施工人员水平要求更高,特别是不同等级、不同行人交通需求的道路交叉口,人行道设计宽度不一、内弧与外弧不同心及复合曲线较普遍等问题象突出,交叉口高标准、高要求铺装设计、施工困难。通过南沙区灵山岛尖市政道路部分交叉口的人行道铺装案例,探讨采用几何优化的方式,使异形交叉口区段铺装在视觉上更为协调、美观。
1、工程概况
南沙区灵山岛尖区域作为南沙未来商务中心,建设标准高、未来预计交通量大,要求地面铺装兼具通行和景观要求。区域内路网结构由主干道、次干道、支路等不同等级道路组成,人行道根据不同交通需求,其设计宽度有4.25m、4.2m、4.05m、3.9m、3.6m、3.2m等。人行道铺设材料选用花岗岩成品,路面结构形式为:6(4)cm花岗岩块料+15cm4%水泥稳定石屑,在直线段花岗岩块料尺寸为60×30×6㎝,交叉口范围调整为30×30×4㎝。
2、线形几何优化
线形几何优化主要用于侧、平石、盲道砖、压条等线性材料在变宽、弧心不重合处,以江灵北路与屯田路交叉口为例进行优化,交叉口处内径R1=24m,外径R2=28.95m,江灵北路侧人行道砖宽A1=4.2m,非机动车道宽B1=2.15m,屯田路侧人行道砖宽A2=3.9m,非机动车道宽B2=1.9m,直线段道砖采用300×600×60mm花岗岩道砖,圆弧段采用300×300×40mm花岗岩道砖。
2.1 平分圆弧,减少人行道砖异形块数量
各交叉口需优先确保主干道铺装的协调,最大限度确保主干道人行道砖标准段长度延伸至支路,满足主干道统一、协调的要求,线形变化较大处放入支路范围。通过直线连接外弧外弧
、内弧
的中点G、H,得到直线GH,ACIG范围内人行道砖仍采用主干道4.2m标准宽度,利用非机动车道彩色透水混凝土现浇施工宽度易调整的特点,非机动车道宽度由2.15m渐变为1.94m。
2.2 两点相切,自然渐变
支线范围内线形变化,需兼顾主线段圆弧与支线段直线,力求过渡圆顺,线形自然、平缓、美观;支线范围内人行道砖宽度由4.2m渐变到3.9m,非机动车道宽度由1.94m渐变到1.9m;具体几何优化方法如下:
图1交叉口大样图;图2交叉口标准段延长示意图
⑴确定渐变段圆弧圆心。连接ID,做弦线ID的中垂线JK,根据几何定理,渐变段圆弧圆心应位于弦ID的中垂线上。⑵两点相切,确定最优圆弧。渐变段圆弧如果能同时与主线段圆弧相切于I点,并同时与支线直线段相切于D点,则渐变线圆弧为最优圆弧;由于非机动车道宽度不一致,渐进线难以满足同时相切的条件,需折衷处理,尽量接近同时相切条件。做主线段圆弧在I点的法线IK,弦ID的中垂线与法线IK相交于K点,则K点为相对于主线圆弧的最优渐变线圆心;做支线直线在D点的垂线DL,弦DL的中垂线与垂线DL相交于L点,则L点为相对于支线直线的最优渐变线圆心;做两个圆心L、K的中心M,则M点为折衷点圆心,以M点为圆心,以IM(DM)为半径做圆弧
,能最大程度满足与主线圆弧及支线直线同时近似相切的要求,圆弧
为最优圆弧。
3、块状几何优化
3.1 铺装方案
运用线性几何优化成果,得出如图4所示示意图:在ACDB范围内,青色区域我们将其称之为交叉口“标准段”,在该范围内铺设块状材料时尺寸可以保持一致;黄色区域则是上面我们线性几何优化所得到的交叉口渐变段,在该区域内,块状材料尺寸是渐变的,下面讲解两种不同块状材料在异形交叉口的铺设大样。
3.1.1 方案一
图5为灵山岛尖市政道路交叉口铺装大样示意图,对应上图青色区域花岗岩砖尺寸为0.3×0.3×0.04m。方案一铺设道砖除上图黄色范围外其余材料不需要切割,现场按标准块施工,黄色区域内道砖是需要切割的异形块。在施工过程中,先铺设青色范围内标准块,在标准块施工完成后,黄色范围材料按现场量取尺寸进行切割,保证与标准块衔接自然。
从图6方案一实际铺设案例的图片中可明显看出,该种铺设方式由于内外弧长不一致,第n排和第n+1排道砖的拼缝错开,错开间距沿着圆弧AB先是增加后减小,在圆弧中心位置处最明显。
3.1.2 方案二
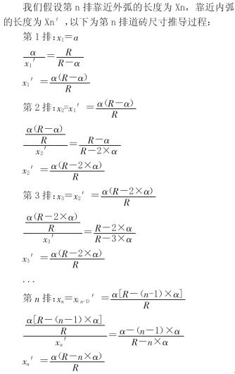
为避免拼缝错开,从而提出方案二设想,由于现场施工条件的限制,方案二没有实际铺设案例。从图7方案二铺装示意图看出,为保证人行道铺装拼缝不错开,原材上要求我们对图4对应青色范围内的道砖进行切割。假设在交叉口异形区段内块状道砖长宽均为a(单位:m),外弧
的半径为R(单位:m),为获取原材加工参数,接下来推导第n排道砖的尺寸参数。
图3交叉口渐变段几何示意图;图4线性几何优化成果图;图5方案一铺装示意图;图6方案一铺设实例;图7方案二铺装示意图
以南沙区灵山岛尖配套道路工程道江灵北路东段与屯田路交叉口做实例,道砖尺寸:0.3×0.3×0.04m,外弧半径R=29.85m,计算结果如表1所示。从表1我们依旧得出第n排块状原材的加工参数,现假设ε为第n排外弧长与内弧长的差值,从表1的推导结果可以得出公式1:
以上所推导的铺装尺寸参数不局限适用于市政道路交叉口,在市政、园林广场转角位置铺装同样适用。
3.2 铺装方案对比
方案一与方案二都是在线型优化基础上设计而成,是理想情况下交叉口范围内标准块最多、异形块最少的铺装方案,区别在于道砖衔接、排列的方式不一样。在南沙区其他市政道路的实际勘查发现,目前南沙区交叉口铺装基本采用类似方案一错缝排列的方案,在通用性角度看,线型优化后的方案一能够适应大部分交叉口的通行、视觉要求。方案二较方案一增加了精准切割工序,材料加工成本更高,但观赏性强。方案二在以下几种情况比较适用:建设区域内各交叉口转弯半径一致的项目,这种情况下道砖可在材料加工厂内成套定制,有效降低方案二额外材料加工费用;随着居民审美需求的提升和户外公共空间活动的增加,市政、园林广场的铺装方案设计感越来越来强,很多建设单位都要求铺装表面做图案设计,为保证表面图案的连续及协调,在其转弯处铺装需采用方案二。
4、结语
现在人们越来越重视城市步行环境,为响应当下慢行交通推广政策,作为基础设施的建设者,提升步行环境是增加居民慢行交通出行量的举措。铺装作为路面的“肌理”,目前现状是直线段铺装主要受施工水平的影响,其整体铺装效果较好,交叉口铺装成果则参差不齐,多数铺装效果差,一方面受铺装块料尺寸过大影响,导致道砖和圆弧难以贴合;第二方面则是线型未优化的原因,导致交叉口范围铺装异形块较多,与直线段过渡突然;第三方面是在施工过程未整体考虑道砖铺设的走向,道砖铺设次序紊乱,导致最终效果是直线段和交叉口铺装完全不衔接,显得极其突兀。本文从交叉口铺装线型、样式两方面入手,在交叉口、转角位置实际案例中,对其设计、施工、材料加工等三阶段都有指导意义。
参考文献:
[1]盖奇(Gage,M.),凡登堡(Vandenbery,M.).城市硬质景观设计[M].北京:中国建筑工业出版社,1985.
[2]李莫.西安城市人行道铺装设计研究--空间的开放度对铺装形式的影响[D].西安建筑科技大学,2008.
[3]卢娜.城市人行步道设计及评价方法研究[D].北京工业大学,2017.
[4]刘继海.画法几何与土木工程制图[M].武汉:华中科技大学出版社,2017.
[5]北京市市政工程设计研究总院有限公司.城市道路工程设计规范:CJJ37-2012[S].北京:中国建筑工业出版社,2016.
[6]北京市政建设集团有限责任公司.城镇道路工程施工与质量验收规范:CJJ1-2008[S].北京:中国建筑工业出版社,2008.
廖浪,周希翔.市政道路交叉口人行道铺装几何优化[J].广东建材,2020,36(2):45-47,6.
分享:
实现具有中国特色社会主义的乡村振兴,实现农业强、农村美、农民富,必须走科技兴农之路,运用辩证法关于普遍联系和对立统一的规律大力发展智慧农业、推广智慧农业、振兴乡村经济是民族复兴的大问题。正如习近平总书记在吉林考察时强调的:“让农民用最好的技术种出最好的粮食。”
2020-10-21IoMaT与IoT不同,其感知终端通信环境面临许多的挑战。TSOR改进了传统的机会路由策略,在降低通信负载、网络开销和提高网络寿命和交付率方面取得了进步。但是我们发现,所采用的网络模型在全局能量平衡问题上仍有可以进步的空间,未来可以根据不同深度节点的通信负载与能耗的关系,全面地考虑实现高效且可靠的路由策略。
2020-10-19有关恩格斯自然辩证法与马克思哲学的关系问题一直是中外学界高度聚焦且至今未果的学术难题。本文在梳理所谓自然辩证法与马克思哲学之“对立”说的基础上,通过厘清《自然辩证法》创作的理绪背景,特别是被长期遮蔽的德国自然哲学传统与恩格斯学理运思的意向性期待,再比照马克思哲学的理论内核,凸现二者的内在关联,以期为该难题的终极求解提供一条新路。
2020-10-19干旱是全球最为常见的自然灾害。据统计,我国每年发生的自然灾害中,气象灾害占到了70%,而干旱占到了气象灾害的50%,干旱的发生频率远远超过了其它气象灾害。干旱具有持续时间长、影响范围大、危害程度高等特点。近来不断发展的传感器技术及图像处理方法为旱情的快速、自动、全面化监测开辟了一条新途径。
2020-09-05海德格尔的思想深刻地影响了其后的哲学家乃至相关哲学流派的“生成”,安德鲁•皮克林的科学实践建构思想对于人与物的后人类主义阐释,可以看作是对海德格尔有关人与物分析之基本思想的承继与发展,但鉴于他是在科学哲学的背景下阐释人与物的开放性本质,因此在具体的阐述路径上与海德格尔的纯然存在论的思路又必然有着重要的区别。
2020-07-10感受质是目前心灵哲学中用来拒斥物理主义而提出的一个重要的概念工具。通常认为,“所谓感受质就是所予的可识别的质性状态的一个例示,是不同于物理性质的一类特殊的主观性质。”[1]感受质通常表现为一个有意识的主体所能够意识到的一种现象的质的特征。对这一特征产生的原因和机制的解释是一个重要的哲学难题。
2020-07-10从当前的分析检测行业发展情况来说,智能实验室的管理实践中,借助人工智能的技术发展,使得仪器设备管理优化,不断提高仪器设备使用效率,推动实验室标准化发展以及运行。引入现代化技术手段,提高仪器设备标准化,有助于增强实验室的智能化,切实提升实验室价值与效率的发挥。
2020-06-20本文提出基于BIM技术的电子信息化控制工程成本管理控制模型。该模型采用BIM大数据信息化管理和特征分析的方法,建立电子信息化控制工程成本管理的约束参数模型结合回归分析和统计检验的方法,进行电子信息化控制工程管理成本的优化预测,实现工程管理成本的优化预测,最后进行实验测试分析,得出有效性结论。
2020-06-16近几年我国自然灾害频发,如2019年的四川凉山三县的森林火灾灾害,以及不久前发生的四川宜宾地震灾害,还有6月13日发生的江西洪灾灾害。其中,2008年的汶川地震是近几年来发生的影响最大、造成损失最严重的自然灾害事件。而且随着社会的发展,一旦发生大型自然灾害会对社会的经济活动造成较大的影响和损害,所以,人们对应急救灾的要求越来越高。
2020-06-10C2C交易涉及众多行业,甚至直接产生一种新兴的商业类型,这让原有的监管体系难以与之匹配。同时,大量没有进行工商、税务登记的个体涌入市场,造成了税收流失、行业准入、不公平竞争等问题。C2C的这些特点以及税收监管的缺失不仅造成了我国大量的税收流失,而且对税收公平、税收中性等原则造成了冲击。
2020-06-10我要评论
期刊名称:大众科学
期刊人气:1756
主管单位:当代贵州期刊传媒集团
主办单位:当代贵州期刊传媒集团
出版地方:贵州
专业分类:科学
国际刊号:1002-6908
国内刊号:52-1049/N
邮发代号:66-19
创刊时间:1980年
发行周期:月刊
期刊开本:16开
见刊时间:4-6个月
影响因子:0.007
影响因子:0.325
影响因子:1.064
影响因子:0.620
您的论文已提交,我们会尽快联系您,请耐心等待!
你的密码已发送到您的邮箱,请查看!