摘要:果糖是一种高附加值的甜味剂,其水溶液的黏度很高,导致晶体生长速率非常缓慢。利用常规的在线和离线测量方法会因为黏度大和成核而造成测量不准确。这导致果糖晶体在纯水中的生长速率目前尚无可靠数据,难以精确实现果糖工业生产过程的设计及优化。本文通过考察黏度、密度与扩散作用研究了高黏度果糖水溶液中的晶体生长速率。首先,利用旋转黏度计测定了果糖水溶液的黏度,考察了温度、浓度对其黏度的影响,使用经验模型对黏度数据进行了关联。随后利用比重瓶法测定了果糖水溶液的密度,考察了温度、浓度对溶液密度的影响。基于黏度和密度的测定结果,利用自由体积模型预测了果糖饱和水溶液的扩散系数,探究了在高黏度果糖水溶液中影响溶质分子传递过程的关键因素。最后,使用扩散控制的生长模型预测了果糖晶体的理论生长速率。采用单晶生长实验测定了果糖晶体的实际生长速率,将理论生长速率与之进行比较,结果吻合良好。此外,基于扩散控制和实际生长形貌,判断果糖晶体的生长机理属于螺旋错位生长。
加入收藏
果糖是一种高附加值的甜味剂,是最甜的天然糖品[1],优点是口感好、甜度高、升糖指数低、不易致龋齿,广泛应用于冷冻和烘焙食品、功能饮料和医药等行业[2]。果糖不依赖胰岛素,且能提供高能量,因此在医药领域倍受青睐。由于果糖具有在人体内的代谢速率比葡萄糖快、更容易被人体消化吸收的特点,果糖注射液在医疗使用中,不仅能为糖尿病患者、慢性肝病患者补充能量,还可以协助外科手术中产生应激性高血糖患者的术后恢复[3]。在解酒制品中加入果糖,有助于维持正常的血糖水平,防止酒精性低血糖的发生。由于果糖甜度高、用量少、安全健康,因此可作为药用辅料替代药用糖浆、药片糖衣中的葡萄糖,方便儿童、老人和糖尿病患者使用。利用果糖的快速代谢吸收性质,在解酒制品中加入果糖,可维持正常的血糖水平,防止酒精性低血糖发生,还可减少酒精对肝脏的损伤。果糖还可通过糖酵解作用,抑制铁催化形成的活性氧物质,从而有效地保护前氧化剂导致的细胞损害[4]。
在工业生产中,结晶工艺是生产优质结晶果糖的关键控制步骤。工业化生产果糖都是在纯水中进行,但由于果糖水溶液的黏度很高,导致其晶体在水溶液中的生长速率非常缓慢。使用在线测量的方法会因为溶液黏度大而干扰探头无法进行;使用离线测量方法时,会因为取样干燥过程有大量成核而使结果无效。这导致目前尚无果糖在纯水中的生长速率的可靠数据,难以精确实现果糖工业生产过程的设计及优化。
针对上述问题,本文采用单晶生长实验测量了果糖的实际生长速率。由于果糖冷却结晶过程是通过全晶种法避免成核,结晶过程的过饱和度始终维持在较低水平,因此单晶生长试验能反映工业生产时结晶罐中晶体的实际生长情况。通过测量果糖在水溶液中的溶液密度和黏度,计算得到扩散系数,然后根据扩散系数、溶解度和溶液密度计算得到果糖晶体的理论生长速率。计算结果与实验结果吻合较好,并以此推断果糖晶体的生长机理为螺旋生长。
1、实验部分
1.1原料和仪器
本文实验包括测定果糖水溶液的黏度、密度及其在水溶液中的单晶生长速率,所用到的试剂和仪器如表1和表2所示。
表1热力学性质测定所用的试剂
表2果糖生长速率测定所用的仪器
1.2果糖水溶液黏度的测定
配制不同浓度的果糖水溶液,通过程序控温仪把溶液温度恒定在测量温度后,将合适的转子连接到螺杆上浸入待测液体中。转子在待测液体中稳定转动30min,待示数稳定后读取黏度值。
1.3果糖水溶液密度的测定
使用比重瓶法测定了不同过饱和时的果糖水溶液的密度,测量的温度范围为308.15~323.15K,过饱和度范围为1.03~1.25。实验步骤如下:首先确定比重瓶的容积。称量烘干的比重瓶的质量m瓶,在比重瓶中注满蒸馏水并称量总质量m总,则比重瓶的容积v瓶由式(1)得到。
配置不同过饱和度的果糖水溶液,将待测液体注入比重瓶,注满后称量比重瓶和液体的总质量m总,则果糖水溶液的密度ρ液由式(2)得到。
1.4果糖单晶生长速率的测定
采用单晶生长试验测定温度和过饱和度对果糖晶体线性生长速率的影响。由于果糖晶体生长时间长达2~5天,为了避免生长过程中溶剂的挥发,本文的生长实验在恒温恒湿箱中进行。首先配制308.15K的过饱和度分别为1.03、1.05、1.08、1.12、1.16、1.20、1.25的果糖水溶液,将饱和果糖溶液转移到培养皿中,培养皿用封口膜密封,随后置于温度为35℃,湿度为45%的恒温恒湿箱中培养。待有晶体出现时,取出培养皿在显微镜下观察,挑选出晶形完美的晶体并测量该晶体的尺寸,随后每隔12h取出培养皿测量该晶体的尺寸,根据不同时刻晶体的尺寸计算其生长速率。为避免测量过程的温度和湿度波动对晶体生长的影响,测量过程控制在5min以内。然后采用与上述相同的方法测定313.15K、318.15K、323.15K的生长速率。
为了确保实验结果的准确性,消除晶体粒度大小对生长速率的影响,同一温度和过饱和度的实验重复测量3次,分别测量3个不同大小晶体的生长速率,取3次结果的平均值作为该条件下的晶体生长速率。
2、结果与讨论
2.1果糖水溶液的黏度
黏度影响扩散速率和热量传递速率[5,6]。在高黏度的饱和果糖水溶液中,黏度的这种影响尤其显著。果糖在水溶液的黏度文献中已有报道[7,8],但这些数据都是在低果糖浓度的情况下测定的,远小于结晶罐中果糖浆的实际黏度。本文对高浓度果糖水溶液的高黏度情况进行了测量,对实际生产具有一定的参考意义。
溶液的黏度和温度之间的关系可以用经验方程式(3)表示[9]。
式中,N、M为经验常数;η为溶液黏度,Pa·s;T为溶液温度,K。
由式(3)可知,温度对溶液的黏度影响显著,温度越高,黏度越低,并且lnη和1/T成正比例关系,说明在结晶过程可以通过升高温度降低溶液的黏度。实验结果见图1,随着果糖水溶液的质量分数从30%增大到90%,其黏度的数量级从10增大到105。当果糖水溶液的质量分数小于70%时,溶液黏度只有几到几十mPa·s,超过90%时急剧增大到上万mPa·s。浓度一定时果糖水溶液的黏度随着温度的升高迅速降低,浓度越大,升温降黏的效果越明显。温度一定时,果糖水溶液的黏度随浓度的增加而增大,这是因为果糖分子易与水分子形成氢键交联体系,浓度越大这种作用力越强,溶液黏度增加就越快。而升高温度会破坏果糖分子和水分子之间的氢键,因此升高温度会使溶液的黏度降低。
图1质量分数为30%~90%的果糖水溶液的黏度随温度的变化情况
由于在结晶过程中,温度和浓度是同时变化的,仅考察单一因素对黏度的影响并不能反映结晶罐中黏度的真实变化情况,因此又测定了温度和过饱和度S对黏度的双重效应,实验结果见图2。在结晶过程中,相同过饱和度时,高温更有利于晶体生长,但由于受到果糖热稳定性的限制,冷却结晶的温度不能超过65℃。
图2果糖水溶液的黏度随温度和过饱和度的变化情况
应用式(3)对果糖水溶液的黏度和温度之间的关系进行拟合,结果见图3。lnη与1/T符合线性关系,该方程可为其他条件下黏度数据的预测提供有效依据。式(3)中常数N、M的拟合值以及R2如表3所示。
2.2果糖水溶液的密度
溶液的密度反映了溶质分子围绕溶剂分子的堆积特性,其大小由温度、压力、溶质浓度、溶剂组成决定。在结晶过程中,溶液的密度通过影响表面张力和分子迁移速度来影响成核和生长过程[10]。
图3不同质量分数的果糖水溶液的黏度lnη与1/T的线性拟合
表3不同浓度的果糖水溶液的关于lnη与1/T的拟合参数N和M
实验结果见图4。温度恒定时果糖水溶液的密度随过饱和度的增加线性增加;过饱和度恒定时果糖水溶液的密度随温度的增加而增加。过饱和度和温度的增加反映了溶液浓度的增加,表明果糖水溶液的密度随溶液浓度的增加而增加。果糖水溶液的密度随浓度的变化趋势说明当溶液浓度增加时,溶液体积的增加幅度远远小于溶液质量的增加幅度,进一步说明了果糖分子和水分子在水溶液中通过强氢键作用紧密堆积。
2.3果糖单晶的生长速率
2.3.1果糖在水溶液中的扩散系数
关于晶体生长的理论很多,应用最普遍的是晶
图4果糖水溶液的密度随温度和过饱和度的变化情况
图5溶质分子扩散过程的示意图
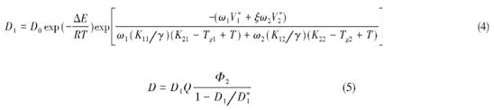
Costa和Storti[12]利用二元混合物的相互扩散系数和自扩散系数的关系,并结合自由体积理论推导出计算聚合物溶液扩散系数的方程,见式(4)和式(5)[12]。
式中,ω为质量浓度,kg/m3;ξ为摩尔体积之比;V*为单位质量分子体积,m3/kg;K11,K12,K21,K22为自由体积参数,K;Tg为玻璃态转变温度,K;D为扩散系数,m2/s;D1为水的自扩散系数,m2/s;D0为指前因子,在果糖水溶液中D0=1.39×10-7m2/s;ΔE为扩散活化能,在果糖水溶液中ΔE=1980J/mol。
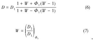
Vrentas等[13]在自由体积模型的基础上提出了另外一种关联相互扩散系数和自扩散系数的模型,见式(6)和式(7)。
式中,D为扩散系数,m2/s;D1为水的自扩散系数,m2/s;D2为溶质的自扩散系数,m2/s;Φ1为溶剂分子的体积分数。
He等[14]验证了自由体积模型不仅适用于大分子的聚合物溶液系统,也同样适用于高浓度的蔗糖、果糖等溶液,还总结了果糖水溶液中自由体积模型的有关参数,见表4。
根据式(4)和式(6)计算了果糖饱和水溶液中溶质分子的扩散系数。果糖水溶液的扩散系数随温度和过饱和度的变化情况见图6。随着溶液过饱和度的增大,溶质分子的扩散系数逐渐减小,但扩散系数的变化与溶质浓度不呈线性关系;随着温度的升高,溶质的扩散系数不断增大。温度和过饱和度通过影响溶液黏度而影响扩散系数,温度越低,浓度越大,溶液黏度越大,溶质分子扩散过程受到的黏滞阻力越大,其扩散速率就越慢。图7反映了过饱和度对溶液黏度和扩散系数的影响。过饱和度增加使得果糖水溶液的黏度增加,溶质的扩散系数减小,可见过饱和度对溶质的扩散系数的影响可能是通过对黏度的影响导致的。也可见改变过饱和度除了能改变传质推动力,在果糖水溶液这一高黏度环境中还能改变溶液黏度,进而影响扩散系数,影响晶体的生长过程。
图6果糖水溶液的扩散系数随温度和过饱和度的关系
图7果糖水溶液的扩散系数和黏度随过饱和度的变化情况(T=308.15K)
2.3.2果糖生长速率的计算
Albon和Dunning[15]发现分子扩散是蔗糖晶体生长过程的速率控制步骤,Howell等[16]推导出扩散控制的生长速率方程见式(8)。G为晶体的线性生长速率,m/s;C*为平衡浓度,kg/m3;D为溶液的扩散系数,m2/s;ρ为溶液的密度,kg/m3;Lc为晶体尺寸,m;δ为边界层厚度,m;μb为液相主体的化学势,J/mol;μ*为晶体表面的化学势,J/mol。
上述方程能准确反映溶质分子从液相主体扩散到静止液层、溶质分子穿过静止液层和溶质分子在晶面的表面反应过程对晶体生长速率的影响。在低过饱和度范围内,溶液主体和晶体表面的化学势梯度近似等于浓度梯度,扩散控制的生长速率方程见式(9)。
式中,Cb为液相主体的浓度,mol/m3;C*为平衡浓度,mol/m3。
式(9)中,液相主体浓度Cb、平衡浓度C*、溶液密度ρ是已知的,扩散系数D可通过实验测量或者模型预测得到,边界层厚度δ可通过估算得到。Howell等[16]用式(8)和式(9)计算蔗糖晶体的理论生长速率,并和实验生长速率对比,结果吻合良好。
基于本文的扩散系数、密度以及已报道的溶解度数据[17],根据式(9)计算出果糖晶体的理论生长速率,结果见表5。
表4果糖水溶液中自由体积模型的参数
图8不同时刻果糖晶体的生长情况(T=313.15K,S=1.16)
表5果糖晶体的理论生长速率
2.4果糖生长速率理论
为验证理论生长速率的准确性,利用单晶生长方法测定果糖实际的生长速率,将其与理论生长速率进行比较。使用偏光显微镜观测果糖晶体的生长进程。以T=313.15K、S=1.16生长条件为例来说明测量过程,如图8所示,晶体的尺寸随时间增长而稳定增加,且单晶实验中挑选的晶体形态完美,有利于尺寸测量。将晶体尺寸换算为等效圆半径,得到不同初始晶体尺寸的晶体随生长时间的变化情况。初始晶体尺寸分别为晶体A130μm、晶体B130μm、晶体C210μm、晶体D300μm的晶体尺寸变化过程见图9。晶体的尺寸Lc均随时间增长表现出线性增加,这说明果糖晶体的生长符合粒度无关生长模型。当初始粒度不同时,晶体的生长速率近似相等。
晶体尺寸随时间变化曲线的斜率即为该晶体的生长速率,把不同晶体的生长速率取平均值就得到该条件下晶体的平均生长速率。图10绘制了果糖晶体的平均生长速率Rg随温度和过饱和度的变化情况。由图可知,在同一温度下,果糖晶体的生长速率随过饱和度的增加而增加。但是随着过饱和度的增加,生长速率增加的幅度越来越小,当过饱和度为1.25时,生长速率甚至出现下降趋势。这是因为随着浓度的增加,溶液黏度显著增大,分子扩散速率逐渐减慢,导致生长速率略有降低,在较低温度下影响较大,如图10(a)和(b);温度较高时影响较小,如图10(c)和(d)。在同一过饱和度下,随着温度增加,溶液黏度减小,扩散速率增大,生长速率也相应增加。
图9晶体尺寸随生长时间的变化
对理论计算的晶体生长速率和实验测定的生长速率进行比较见图10,在低过饱和度范围内,理论生长速率和实验生长速率吻合性很好,但当过饱和度超过1.20时,二者出现较大的偏差。这可能是因为在单晶生长实验中,当过饱和度超过1.20时溶液中的成核量增大,导致晶体平均生长速率偏低。另一方面,晶体表面的边界层厚度会随着溶液浓度和温度的变化而变化,而在理论生长速率的计算中将其看作恒定值,这也是实验值和理论值出现偏差的原因之一。总体上说,扩散控制的生长模型能较好适用于果糖晶体的生长速率的预测。
图10果糖晶体的理论生长速率和实验生长速率的比较
2.5果糖生长机理
在果糖饱和水溶液中,晶体的生长受到溶质扩散的影响,生长速率缓慢,果糖晶体的生长机制属于螺旋错位生长。在单晶生长试验中发现,某些晶体的表面会出现明显的螺旋位错,如图11。这种位错产生的台阶促使晶体即使在低过饱和度下也能不断生长。
图11低过饱和度(S=1.05)下果糖晶体的螺旋生长
3、结论
(1)测定了果糖水溶液随温度和浓度的变化,以及果糖水溶液在不同温度和过饱和度条件下的密度,对不同浓度条件下的黏度和温度的关系进行了拟合,发现lnη与1/T符合线性关系,可用于果糖水溶液黏度的预测。
(2)结合黏度、密度和溶解度,利用自由体积模型对不同温度和过饱和度下果糖水溶液的扩散系数进行计算,模型计算结果表明果糖水溶液的扩散系数随温度增加而增大,随过饱和度增加而减小。然后根据基于扩散控制的生长模型,计算了果糖晶体的理论生长速率。发现生长速率的理论值和实验值吻合较好,说明该模型适用于果糖水溶液结晶体系。
(3)在果糖饱和水溶液中,发现了螺旋位错点的存在,晶体的生长受到溶质扩散的影响,生长速率缓慢,果糖晶体的生长机制属于螺旋错位生长。
参考文献:
[1]杨瑞金.纯结晶果糖的性质及其应用[J].冷饮与速冻食品工业,1997,3(1):27-29.
[2]刘晓娟,田强,王成福,等.结晶果糖的功能及应用[J].中国食物与营养,2008,7:011.
[3]程炜华,王艳秋.果糖临床用途与市场调研[J].医学综述,2009,15(9):1356-1358.
[5]陈锦文.液相扩散系数的测定和无限稀释液相扩散系数的新关联方程[D].天津:天津大学,1990.
[11]丁绪淮.工业结晶[M].北京:化学工业出版社,1985:112-119.
龚俊波,李康,何兵兵,黄翠,陈明洋.果糖在高黏度水溶液中的生长模型及机理[J].化工进展,2020,39(05):1714-1721.、
基金:青海省自然科学基金(2019-ZJ-901).
分享:
闪烁晶体是指X射线、γ射线等高能射线或α粒子等高能粒子照射到晶体材料后,晶体材料中的电子受激跃迁而发出可见光或紫外光等闪烁光的光功能晶体。相对于半导体或其他辐射探测材料,闪烁晶体具有密度大、光输出高、衰减时间短和对核辐射探测效率高等优点,因而在高能物理、核物理、安全检查、医学成像和石油勘探等领域得到了广泛应用。
2020-07-11乙烯是一种气态的植物激素,其调节作用贯穿高等植物的整个生命周期.从合子的形成[1]、幼苗的萌发[2]、根尖和芽的生长[3]、叶片的衰老[4]、花期的决定[5]、果实的成熟[6],无不受到乙烯的调节.不仅如此,乙烯还参与植物对病害[7]、干旱[8]、寒冷[9]、高盐[8]等逆境的适应.这些调控功能与人类的农业、林业和园艺生产息息相关.
2020-07-11随着医药和光电子产业的蓬勃发展,对晶体产品的需求日益提高,对晶型、晶体形态和纯度亦提出了更高的要求。工业结晶过程不但是一种高效的分离、提纯与精制手段,而且作为一种有效的产品形态调控技术,在功能固体产品(尤其是诸如聚合物、药物、石油化学合成品及光电子材料等有机产品)的生产中发挥着日益重要的作用[5]。
2020-07-11本工作采用水热法,以无水CaCl2和(NH4)2HPO4为原料,尿素为均相沉淀剂,十六烷基三甲基溴化铵(CTAB)为模板剂,制备HA纳米棒,主要研究了不同水热温度及时间变化对HA形貌、尺寸和相组成等的影响,得出在120℃反应12h为最佳工艺条件。从晶体结构的角度出发,详细探讨了CTAB在HA纳米棒形成过程中所起的作用。
2020-07-11针对某工程中KDP晶体光学元件的高精度面形与高精度粗糙度要求,笔者研制了如图1所示的大口径超精密光学平面飞切加工机床。床身采用龙门结构,床身与立柱采用低热涨特性的天然花岗岩;直线轴基于直线电动机驱动、液体静压导轨支承,旋转轴采用拨叉驱动+高刚度气浮主轴+高刚度主轴旋转机构;通过优化加工工艺参数,在该机床上实现了KDP晶体光学元件的超精密飞切加工。
2020-07-11光学通信中的偏振分束器是一种集成光电子器件,用于实现TE模和TM模的分离[1,2].偏振分束器的实现方法主要基于二维光栅和波导.目前,基于波导的偏振分束器有着较为广泛的应用,然而,由于这种类型的偏振分束器大部分尺寸大、光对角度变化非常敏感、消光比低,难以满足现代光学集成的需求.
2020-07-11本文采用单晶生长实验测量了果糖的实际生长速率。由于果糖冷却结晶过程是通过全晶种法避免成核,结晶过程的过饱和度始终维持在较低水平,因此单晶生长试验能反映工业生产时结晶罐中晶体的实际生长情况。通过测量果糖在水溶液中的溶液密度和黏度,计算得到扩散系数,然后根据扩散系数、溶解度和溶液密度计算得到果糖晶体的理论生长速率。
2020-07-11S.John[1]和E.Yablonvich[2]在1987年提出了光子晶体的概念,光子晶体是一种人工电磁材料.光子晶体结构模型可分为一维光子晶体、二维光子晶体、三维光子晶体结构[3,4,5],如图1所示.不同结构的光子晶体其能带特性有较大的差别,它们的作用也不近相同.太赫兹波的电磁波段处于100GHz-10THz之间,波长在0.03到0.3mm之间.
2020-07-11气体受激拉曼散射自1963年[1]被报道以来,已被证明是拓展激光波长的有效方式。由于气体腔内的有效作用距离很短,因此气体腔中受激拉曼散射通常需要很高的泵浦功率,且会不可避免地产生多阶斯托克斯谱线,使得预期拉曼谱线的转换效率受限。空芯光纤的出现和快速发展为气体受激拉曼散射开辟了新的前景。
2020-07-11近年来,材料学及纳米技术的快速发展也为检测技术革新提出了新的方法,其中,基于光子晶体的检测方法由于其检测速度快、灵敏度高、无需预处理等优点获得人们的青睐。这也使得基于光子晶体的检测技术获得了长足的发展,许多课题组开发出了针对各种物质的检测手段,极大丰富了光子晶体的应用。
2020-07-11人气:5665
人气:3885
人气:3678
人气:2600
人气:2305
我要评论
期刊名称:化学研究
期刊人气:708
主管单位:河南大学
主办单位:河南大学
出版地方:河南
专业分类:化学
国际刊号:1000-8217
国内刊号:11-1730/N
邮发代号:82-413
创刊时间:1997年
发行周期:双月刊
期刊开本:大16开
见刊时间:10-12个月
影响因子:2.741
影响因子:1.160
影响因子:1.215
影响因子:0.770
影响因子:0.374
您的论文已提交,我们会尽快联系您,请耐心等待!
你的密码已发送到您的邮箱,请查看!