摘要:目前,常用的扇区容量评估方法有基于管制员工作负荷的扇区容量评估和基于计算机仿真的扇区容量评估,两者都是对已经运行的扇区进行容量评估。文章从几何角度出发,利用数学方法达成快速评估规划空域扇区容量的目标。
加入收藏
近年来,随着民航运输业的发展,空中交通流量迅速攀升。由于空中交通流量增长速度过快,世界范围内的空域如终端区、扇区等都慢慢的面临着资源不够的拥挤问题,甚至有的地方航班量过大出现超负荷、航班延误的情况。为了满足逐渐增加的空域流量需求,也为了解决某些空域交通量过于拥挤的状况,民航部门需要对空域进行重新规划,甚至开发更多的可用空域供民航客机使用。规划空域扇区还没能投入到运行,规划空域扇区划分的是否合理、科学、高效,规划空域扇区的运行容量能够达到多少也是未知的问题?通过扇区容量评估准确评估空域系统运行的服务能力,评估出的容量可以作为规划空域投入运行时的参考。
1、基本概念
规划空域扇区容量定义及其分类:
针对空域扇区,规划空域扇区容量定义为在持续服务请求下,某扇区所接受管制服务的航空器最大数量[1]。根据考虑因素的不同,可以将容量定义为静态容量和动态容量。静态容量定义为不考虑随时间推移而变化的扇区容量影响因素,单位扇区所接受管制服务的航空器最大数量。动态容量定义为考虑随时间推移而变化的扇区容量影响因素,单位扇区所接受管制服务的航空器最大数量[2]。
影响规划空域扇区容量的因素有很多,包括静态因素和动态因素。其中静态因素是不随时间变化而变化的因素:
(1)空域因素:扇区形状、扇区的垂直和水平边界及其一些特殊空域,比如扇区内的禁区、危险区、限制区、放油区、等待区的水平和垂直范围。
(2)航路航线因素:主要包括航路航线数量、开口方向、航路航线最低可用、高度层和高度层配备情况、航路航线交叉点数量及其密集程度。
(3)管制规则:管制规则是扇区运行的标准和规范,主要包括航空器横向、纵向、垂直方向的安全间隔,扇区内的飞行规则。
动态因素是指随时间变化而变化的因素:
(1)空中交通流,包括扇区内航路航线上的航空器数量、航空器的机型比例、不同航路航线的航空器比例、航空器在扇区内的飞行时间及其在扇区内的上升下降特征。
(2)人为因素,主要包含飞行员的飞行时间、管制员的管制时间、管制员的生理状态、心理状态。
(3)天气特征,天气对扇区容量的影响主要表现在恶劣天气会影响扇区的运行情况,如低能见度、雷暴等。
(4)军航活动的影响,军航活动会造成部分扇区内的航空器运行限制,包括受军航活动影响不能使用的航路航线和高度层,受军航活动所影响的扇区内航空器间隔,及其军航活动影响发生的冲突等[3,4,5]。
2、规划空域扇区容量评估模型
2.1规划空域扇区基本问题分析
规划空域扇区还未投入运行,管制员对于规划空域扇区不熟悉,就不能利用管制员负荷扇区容量评估和计算机仿真工具容量评估方法对它评估。在进近管制扇区中,航空器需要依照进离场程序飞行。扇区中不同的进离场程序都是相互作用、相互影响的,扇区的容量也就不能用简单的累加计算。本文从几何角度对规划空域扇区容量进行评估,通过计算通过参考点的平均间隔时间的倒数来计算容量。参考点的准确选择将会对规划空域扇区容量产生较大的影响,参考位置的选取由规划空域扇区航路航线的位置关系来确定。考虑到规划空域扇区的入口点和出口点不能反映扇区中航路之间的位置关系,即不能反映航空器在扇区中的运行模式和特性,所以参考位置的选择应该为规划空域扇区中某一个或者某几个,应该选择航路航线交叉比较密集的位置[6]。
2.2进近扇区运行特性分析
进近管制扇区主要是为航空器在终端区运行时实行管制,空域中航空器的拥挤、飞行事故多发生在这个区域。进近管制扇区主要有进场飞行和离场飞行,其空域结构比较复杂。进近扇区进出口位置、交叉点数量及其复杂的拓扑结构,航空器上升、下降都对空域的影响巨大,飞机的进离场比例,飞机性能也对系统容量产生重大的影响[7]。
2.3规划空域扇区容量计算的数学模型建立
对于规划空域进近扇区来讲,进近扇区容量的计算要从进场容量和离场容量分别计算。对于进场航线来说,飞机进入扇区入口点后逐渐呈下降趋势,这样最后才能安全降落到机场。
图1飞机从不同扇区入口到参考位置D的示意图
在计算进场容量时,可以把飞机的运行情况分解为水平方向和垂直方向,在两个方向上他们到达参考位置的时间是相同的,即只需要分析FD和ED在水平方向上A和B经过参考点的间隔时间,即把一个三维的问题转变为一个二维的问题,减少工作负荷量。
图2飞机从不同扇区入口到参考位置D的平面示意图
航路AD和航路BD相交于D点,在这里我们通过分析四种模式的运动形态来计算通过参考点D的容量。
(1)在航路AD上一组飞机对的运动模式
研究AD上飞机的运动形态,考虑一组飞机对在该航路上的运动模式,他们的水平间隔为d,考虑飞行员的操作反映时间的间隔裕度的安全间隔为d+△d,假设A点的坐标为(xa,ya),B点的坐标为(xb,yb),D点的坐标为(xd,yd),航路AD和BD的速度分别为vad和vbd。
则通过参考点D的间隔时间Td1为
(2)在航路BD上一组飞机对的运动模式
同理,研究BD上飞机的运动形态,参考平行航路上通过参考点D的间隔时间Td2为
(3)两架飞机从A和B进入是随机变量,当飞机从A口早于B口tc秒进入时,则飞机在经过参考点D的间隔时间Td3为
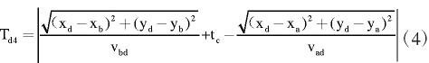
(4)当飞机从B口早于A口tc进入时,则飞机在经过参考点D的间隔时间Td4为
飞机从A口和B口进入的飞机流比列为P1和P2,他们是互相独立的。
表1飞机对从不同扇区入口点进入的概率
飞机通过参考位置D的平均间隔时间为
当然,在复杂的航路航线结构中,不只有两条航路通过参考位置,当有多条航路航线通过参考位置时:
图3多条航线通过参考点示意图
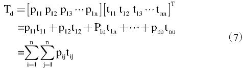
Pi(i∈{1,n})航路飞机分配的比例,则过此参考点的平均间隔时间为:
式中:t11是第一条航路中前机和后机飞机对经过参考位置的间隔时间
t1n是第一条航路和第n条航路的飞机对经过参考位置的间隔时间
则通过参考位置D的容量Cd为
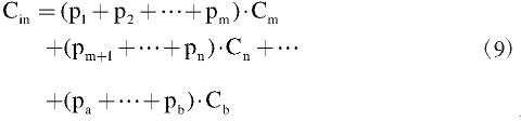
当在扇区中有两个以上的参考位置时,则扇区的进场容量为:
式中Cm是通过参考位置m的容量,p1、p2…pm分别是通过参考位置m的航路的飞机比例;Cn是通过参考位置n的容量,pm+1…pn分别是通过参考位置n的航路的飞机比例;Cb是通过参考位置b的容量,pa…pb分别是通过参考位置b的航路的飞机比例。
对于离场飞行来说,扇区内的航空器离场飞行相对简单,从机场起飞后爬升至指定高度,雷达识别后按照管制员的指令飞行到一定高度按照不同方向的标准离场程序做离场飞行,把扇区最低高度层当做参考面,飞机按照恒定爬升率进行爬升,即飞机到达参考面的间隔时间也即为机场放行飞机的离场间隔,则进近扇区的离场容量为:
式中:△t是离场放行间隔
为了更大限度利用空域资源,也为了减轻管制员的管制压力,当前都在实行进离场分离程序,假设这里不考虑进离场冲突点的影响,所以扇区的总容量为:
式中:λ1,λ2为进离场飞机比例,Cin,Cout是进近扇区的进场和离场容量
3、实例分析及其仿真验证
如图4,由于规划空域扇区尚未投入运行,不容易验证这种模型计算的容量是否合理,所以选择已经运行的扇区作为算例评估容量。选取哈尔滨进近1扇的运行状态进行分析,哈尔滨进近空域属于C类空域,在哈尔滨1扇中,共有FP、ES、AQ、BQ、CQ、DQ六条进场程序通过。由于程序FP和程序ES在1扇中没有相交,且PS的距离远远大于水平安全间隔,可以认为FP、PS和其他四条程序上的飞机运行时不产生影响。所以分别在FP上找一个参考位置P,ES上找一个参考位置S,AQ、BQ、CQ、DQ的交点Q三个参考位置计算哈尔滨1扇的进场容量。
图4哈尔滨进近1扇进场航线示意图
通过统计一天中所有航班在进近扇区中运动的速度,取航空器在进近时的航空器平均速度为280kt,以此作为此模型中飞机运行的平均速度。已知每条航路上的飞机比例,计算出飞机对的概率如表2所示。
表2通过参考位置Q的飞机对概率
当不同航路的飞机对进入扇区的间隔时间tc为1分钟时,计算出参考位置Q的容量为30.34474架次/小时。对于E口和F口进入的飞机,根据间隔安全规定,考虑哈尔滨进近扇区的运行情况,从E口进入的航空器对应保持15km的安全间隔,同理F口进入的航空器对也应保持15km的安全距离。已知速度和安全间隔,利用到达参考位置间隔时间的倒数分别计算出通过E和F的容量。最后,根据E、F、ABCD的飞机流量比例关系,用飞机对比例乘以其对应的容量即式(9)可得哈尔滨1扇的进场容量是33.12234架次/小时。当只考虑哈尔滨1扇的离场容量时,选择哈尔滨1扇最低高度2400m的水平面作为参考位置,求得飞机对离场时通过扇区最低高度的平均间隔时间即可得通过哈尔滨1扇的离场容量。已知机场的离场放行间隔△t为2分钟,由式(10)可得扇区离场容量为30架次/小时。这里不考虑进场飞机和离场飞机的冲突情况,给定进场飞机比例和离场飞机比例各0.5,则由式(11)可得哈尔滨1扇容量为31.5架次/小时。
图5哈尔滨1扇小时容量累计剖面图
上文提出的规划空域扇区容量评估方法是否具有实用性需要进行检验,本文利用TAAM仿真软件构建哈尔冰机场地面模型和空中模型,验证用数学方法计算出的容量值是否符合实际。
在TAAM的仿真结果中,发现哈尔滨1扇的扇区容量小时高峰量可以达到31架次/小时,比用本论文的数学模型评估出的容量31.5架次/h要小一些(如图5)。
4、结束语
通过计算与仿真比较,我们发现用数学方法计算出的容量要比用TAAM仿真软件仿真出来的容量要大一些。这是因为这种数学方法的计算过程具有一定的理想性,飞机在扇区中的运行情况是一种理想情况,比如航班在空域中的等待点、航班发生冲突时的冲突解脱等等都没有考虑进来。但是,对于规划空域扇区来说,这种评估方法可以达到快速评估规划空域扇区容量的目标,对于规划空域扇区容量的评估具有参考意义。
参考文献:
[1]吴懿君.多场景扇区容量评估技术研究[D].南京航空航天大学,2016.
[2]陈凤兰.军航活动下扇区动态容量评估研究[J].航空计算技术,2016,46(05):31-33+37.
[3]田勇,杨双双,万莉莉.扇区动态容量评估方法研究[J].系统工程理论实践,2014,34(8):2163-2169.
[4]王少朋,周雄飞.基于管制员工作负荷的区域扇区容量评估[J].航空计算技术,2015,45(04):116-118+122.
[5]胡婧,王莉莉.基于进离场流量和冲突发生位置的扇区规划[J].航空计算技术,2013,43(06):39-41+45.
[6]王剑辉.基于航段交叉点的终端区进离场容量评估[J].湘潭大学自然科学学报,2015,37(01):121-126.
任嵩.基于数学方法的规划空域扇区容量评估[J].科技创新与应用,2020(16):19-21+24.
基金:国家自然科学基金委员会与中国民用航空局联合资助(编号:U1333108).
分享:
小学生在解题过程中,非常容易出现各种各样的错误,而且一旦出现错误,就会对学生的学习造成极大的困扰,干扰学习进度,如何减少学生出错率,对于教师来说是一个挑战,教师要对学生的错误原因进行分析,并以此为基础采取不同的措施,教师可以设计不同类型的题组,让学生通过题组对错误进行对比,有效干预易错题,激活学生的源思维,提高课堂教学效率,实现全面发展和提升。
2021-09-07作为一门研究物质的结构、变化、空间、数量及信息等概念的学科,从本质上而言,数学隶属于科学学科的一种,在人类文化组成中具有重要作用。且数学这一门学科在我国教育制度下作为最基础性的学科,不仅囊括了小学、初中、高中乃至于大学,甚至更高的学级,也同各行各业的飞速发展密切相关,所以快速掌握数学理论知识并对其充满兴趣,对学生而言显得尤为重要。
2021-09-07小学数学日常教学内容的呈现,是依托教科书的,但是学生学习的根本在于从教科书上吸取营养、联系生活、步入实践,在生活中运用知识、在生活中提升综合素养。老师在教学过程中应该处理好日常教学与生活之间的关系,让学生了解数学学习的价值,感悟数学学习的兴趣,从而引领学生在生活中体验数学知识,建立数学情感,真正在体验、探究和理解中引领学生高效发展。
2021-09-07中学阶段在整个教学体系中有着十分重要的意义,这一阶段中的学生在学习数学知识的过程中会遇到各种各样的难题,而学生在不断探索和研究相应解决措施的过程中,一定会出现一些错误,从学生角度而言,出现的错误也可以作为另一种教学资源,数学教师可以在实际教学过程中采用科学合理的教学方法,充分利用错题集,促进中学数学教学质量得到进一步提升,为学生日后更好的发展奠定扎实的基础。
2021-09-07随着教育课程改革的不断深化,传统的教学模式已经不能适应当前义务教育的发展需要,新的教学理念及教学模式应运而生。画图教学作为一种能够培养学生抽象思维能力的重要途径,受到小学数学教师的认可。在素质教育的要求下,数学教师不仅要培养学生学习相关的科学文化知识,更要促进学生多维能力的发展。通过画图教学,学生对数学教学内容的理解会更加深刻,也提升了学生的逻辑思维及解决问题的能力。在本文中,笔者简要介绍了在小学高年级数学的教学过程中,利用画图解决问题的优势,并基于此,提出了相应的教学策略,希望广大教育工作者提出宝贵意见
2021-09-07初中阶段的数学学习在数学教学当中占据着重要的地位,因为它是小学数学以及高中数学的重要衔接阶段,如果学生在初中阶段不认真学习数学,那么当其升入高中之后,很难跟上教师的速度。伴随着教育改革的不断推进,新型的学习模式在数学学习中得到广泛应用,并取得了一定成效。在初中的数学学习中,通过成功地应用合作学习模式,会使数学课程的教学效率得到大幅度提高,极大促进学生学习能力的提高,让课堂的质量真正得到有效的保障,奠定高中数学学习的基础。
2021-09-07数学思想是教师进行教学的指导性内容,对于学生的学习工作有着教育意义,可以帮助学生建立起良好的学习体系。在教学过程中,教师把握数学思想,将其与数学知识巧妙结合,加以创新,赋予其独特的价值与魅力。本文通过介绍不同数学思想,帮助教师灵活数学教学,展现数学风采。
2021-09-02本文主要探究了新课改下中职数学教学模式应该如何创新,旨在通过探究,优化中职数学教学质量,以促进学生在新型教学模式下提升核心素养。文章内容具体如下:教师在开展数学教学时,可以采用信息技术优化预习设计,提高学生的预习质量;可以建立反转课堂,给学生创造更大的自主探究空间,锻炼学生的自主探究能力;可以优化评价模式,促进学生在评价的引领下获得全面发展。
2021-08-31课堂提问一直是数学教师最常用的教学方法,即使学生不喜欢数学,也会在教师的提问作用下,不断提升自身数学学习能力。数学教学在初中教学中占据了较大的比重,提高数学教学质量能够推动学生各方面能力的提升。数学是初中学生的一门重要课程,数学教师的提问有效与否关乎课堂的整体质量。希望能够对初中数学教师课堂教学的顺利开展有帮助,推动我国教育水平的不断提升。
2021-08-31信息技术应用在生活的方方面面,但就教育领域而言,特别是在改进数学教学方式上,动力还稍显不足。本文主要从信息化教学的软硬件平台方面入手,并在此基础上给出一个解决相关问题的闭环处理手段——基于ipad设备中APP软件群交互处理方法,以期为奋战一线的数学教师在信息技术与数学课堂深度融合方面提供必要的操作经验和方法指导。
2021-08-31人气:7757
人气:6590
人气:6027
人气:4807
人气:3748
我要评论
期刊名称:应用数学学报
期刊人气:2350
主管单位:中国科学院
主办单位:中国数学会,中国科院数学与系统科学研究院
出版地方:北京
专业分类:科学
国际刊号: 0254-3079
国内刊号:11-2040/O1
邮发代号:2-822
创刊时间:1976年
发行周期:双月刊
期刊开本:16开
见刊时间:一年半以上
影响因子:0.553
影响因子:0.322
影响因子:0.352
影响因子:0.000
影响因子:0.000
您的论文已提交,我们会尽快联系您,请耐心等待!
你的密码已发送到您的邮箱,请查看!