摘要:比色法是目前常用的一种检测物质浓度的方法,是一种将待测物质制备成溶液后滴在特定的白色试纸上,使其充分反应,再把颜色试纸与一个标准比色卡进行比对的一种方法。随着照相技术和颜色分辨技术的提高,我们希望找到某种方法,这种方法既可以消除个人对颜色的敏感差异和观测误差,又可以确定颜色读数和待测物质浓度的关系,利用颜色读数对物质浓度进行检测。文章根据观测二氧化硫在水中的浓度和照相技术的颜色RGB读数进行了相关性分析,建立了二氧化硫溶液浓度与颜色读数RGB的多元线性回归模型,使用MATLAB软件对该模型进行了求解,然后对该模型进行了残差分析,以便判断模型的优劣。
加入收藏
根据实测数据建立数学模型,并对模型进行评价。我们以物质浓度为因变量,以B,G,R,H,S为自变量,运用多元回归的思想建立函数表达式,运用MATLAB软件进行求解,并求出各个系数,进而得到函数关系式,即只要输入颜色读数,就能得到对应的二氧化硫的浓度值。虽然求出了颜色读数与浓度的表达式,但该式并不能表示实际所对应的函数值(二氧化硫浓度)存在一定的误差。如当我们将二氧化硫浓度为20ppm时的颜色读数带入函数表达式时所求出来的浓度值并不等于20ppm。这里我们不妨将实际浓度与所得浓度作差比较得到偏差加以平方得到残差值和进而得出该模型的优劣。
1、模型的建立与求解
1.1模型建立
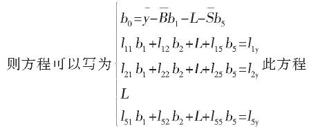
设随机变量y与普通自变量B,G,R,H,S满足线性关系:
其中b0,b1,b2,b3,b4,b5,是待定系数,ε是随机误差。
其中,ε1,ε2,L,εn……相互独立且服从同一正态分布。
组的解就是待定系数b0,b1,b2,b3,b4,b5的最小二乘估计值,即
1.2模型求解
我们运用MATLAB进行辅助运算,运算过程及运算结果,得出b赞0,b赞1,b赞2,b赞3,b赞4,b赞5。于是y赞=5028.8+0.4R-7.2B-14.5S-14.6H,但这个模型与原数据真实模型还有一定的误差,从表1中我们可以看出相关系数r2=0.891,查阅资料发现r2越接近于1,函数模型对于原数据的拟合程度越好。可以认为,该模型对原数据的符合程度为89.1%。
利用模型原理,建立两个新的模型。这两个新模型对于原模型来说,一个是在数据量上进行减少,一个在颜色维度上进行减少。
表1数据对模型的影响
表2二氧化硫浓度
1)数据量对模型的影响:利用建立的函数模型,在数据的选择上我们设置一个限制,就是减少每组二氧化碳浓度所对应的颜色读数,利用公式:
004建立数据量减少时物质浓度与颜色读数的多元回归模型。
2)颜色维度对于函数模型的的影响:在数据选择上决定删去色调H,建立一个与之前相比少一维的函数回归模型即:
005,运用MATLAB进行运算,来讨论数据量对模型的影响。从表1中我们发现:
r2的值与之前相比更接近于1,而F检验、残差均方RMSE也都比原模型数据要好。所以当减少数据量的时候,并不会对原模型造成影响。当对颜色维度进行减少时,r2的值与之前模型相比更接近于1,残差均方RMSE也比颜色维度减少前要小。所以我们得出结论:当颜色维度减少时,并不会影响原模型。
2、模型的检验
我们将二氧化硫浓度与颜色读数模型进行检验,检验其是否符合实际情况;随机挑选几组数据带入到我们求解出来的函数模型,运用Excel,计算实际二氧化硫浓度Y与计算出来的二氧化硫浓度Y(见表2)。
3、模型评价与推广
3.1模型评价
颜色读数与物质浓度模型的建立,是为了减少观测者由于色差和对颜色敏感程度的影响,从而达到科学、精准、方便地获取待测物质浓度的一种方法。我们运用了统计回归、模糊数学的方法和思想,使得该模型更具有科学性和可靠性
3.2模型优点
本模型中我们使用线性回归的方法,很好地反映了要素之间的数量关系。本模型更具有普遍性,在相同类型的情况下,依然能对问题很好地建模。
3.3模型缺点
我们在进行模型假设的时候,假设了所有颜色读数与物质浓度都是线性关系,忽略了数据的非线性关系,从而造成了一定的误差。在数据选择上我们是将数据平均后再带入模型的,并不能代表数据的整体趋势。
3.4模型推广
本模型具有很好的应用前景,如我们可以将本模型进行改进应用到汽车受损部位的修补,可以运用此模型进行化学物质的检验,或者对食品进行营养物质的检测。
参考文献:
[1]房少梅.数学建模理论、方法及应用,北京:科学出版社,2015.6.
[2]林军,陈翰林.数学建模教程,北京:科学出版社,2011.6.
[3]单锋,朱丽梅,田贺民.数学模型,北京:国防工业出版社,2012.2.
刘世奇,刘赵涵.颜色读数和物质浓度的辨识问题探究[J].河南建材,2020(04):63-64.
分享:
小学生在解题过程中,非常容易出现各种各样的错误,而且一旦出现错误,就会对学生的学习造成极大的困扰,干扰学习进度,如何减少学生出错率,对于教师来说是一个挑战,教师要对学生的错误原因进行分析,并以此为基础采取不同的措施,教师可以设计不同类型的题组,让学生通过题组对错误进行对比,有效干预易错题,激活学生的源思维,提高课堂教学效率,实现全面发展和提升。
2021-09-07作为一门研究物质的结构、变化、空间、数量及信息等概念的学科,从本质上而言,数学隶属于科学学科的一种,在人类文化组成中具有重要作用。且数学这一门学科在我国教育制度下作为最基础性的学科,不仅囊括了小学、初中、高中乃至于大学,甚至更高的学级,也同各行各业的飞速发展密切相关,所以快速掌握数学理论知识并对其充满兴趣,对学生而言显得尤为重要。
2021-09-07小学数学日常教学内容的呈现,是依托教科书的,但是学生学习的根本在于从教科书上吸取营养、联系生活、步入实践,在生活中运用知识、在生活中提升综合素养。老师在教学过程中应该处理好日常教学与生活之间的关系,让学生了解数学学习的价值,感悟数学学习的兴趣,从而引领学生在生活中体验数学知识,建立数学情感,真正在体验、探究和理解中引领学生高效发展。
2021-09-07中学阶段在整个教学体系中有着十分重要的意义,这一阶段中的学生在学习数学知识的过程中会遇到各种各样的难题,而学生在不断探索和研究相应解决措施的过程中,一定会出现一些错误,从学生角度而言,出现的错误也可以作为另一种教学资源,数学教师可以在实际教学过程中采用科学合理的教学方法,充分利用错题集,促进中学数学教学质量得到进一步提升,为学生日后更好的发展奠定扎实的基础。
2021-09-07随着教育课程改革的不断深化,传统的教学模式已经不能适应当前义务教育的发展需要,新的教学理念及教学模式应运而生。画图教学作为一种能够培养学生抽象思维能力的重要途径,受到小学数学教师的认可。在素质教育的要求下,数学教师不仅要培养学生学习相关的科学文化知识,更要促进学生多维能力的发展。通过画图教学,学生对数学教学内容的理解会更加深刻,也提升了学生的逻辑思维及解决问题的能力。在本文中,笔者简要介绍了在小学高年级数学的教学过程中,利用画图解决问题的优势,并基于此,提出了相应的教学策略,希望广大教育工作者提出宝贵意见
2021-09-07初中阶段的数学学习在数学教学当中占据着重要的地位,因为它是小学数学以及高中数学的重要衔接阶段,如果学生在初中阶段不认真学习数学,那么当其升入高中之后,很难跟上教师的速度。伴随着教育改革的不断推进,新型的学习模式在数学学习中得到广泛应用,并取得了一定成效。在初中的数学学习中,通过成功地应用合作学习模式,会使数学课程的教学效率得到大幅度提高,极大促进学生学习能力的提高,让课堂的质量真正得到有效的保障,奠定高中数学学习的基础。
2021-09-07数学思想是教师进行教学的指导性内容,对于学生的学习工作有着教育意义,可以帮助学生建立起良好的学习体系。在教学过程中,教师把握数学思想,将其与数学知识巧妙结合,加以创新,赋予其独特的价值与魅力。本文通过介绍不同数学思想,帮助教师灵活数学教学,展现数学风采。
2021-09-02本文主要探究了新课改下中职数学教学模式应该如何创新,旨在通过探究,优化中职数学教学质量,以促进学生在新型教学模式下提升核心素养。文章内容具体如下:教师在开展数学教学时,可以采用信息技术优化预习设计,提高学生的预习质量;可以建立反转课堂,给学生创造更大的自主探究空间,锻炼学生的自主探究能力;可以优化评价模式,促进学生在评价的引领下获得全面发展。
2021-08-31课堂提问一直是数学教师最常用的教学方法,即使学生不喜欢数学,也会在教师的提问作用下,不断提升自身数学学习能力。数学教学在初中教学中占据了较大的比重,提高数学教学质量能够推动学生各方面能力的提升。数学是初中学生的一门重要课程,数学教师的提问有效与否关乎课堂的整体质量。希望能够对初中数学教师课堂教学的顺利开展有帮助,推动我国教育水平的不断提升。
2021-08-31信息技术应用在生活的方方面面,但就教育领域而言,特别是在改进数学教学方式上,动力还稍显不足。本文主要从信息化教学的软硬件平台方面入手,并在此基础上给出一个解决相关问题的闭环处理手段——基于ipad设备中APP软件群交互处理方法,以期为奋战一线的数学教师在信息技术与数学课堂深度融合方面提供必要的操作经验和方法指导。
2021-08-31人气:7757
人气:6590
人气:6027
人气:4807
人气:3748
我要评论
期刊名称:应用数学学报
期刊人气:2350
主管单位:中国科学院
主办单位:中国数学会,中国科院数学与系统科学研究院
出版地方:北京
专业分类:科学
国际刊号: 0254-3079
国内刊号:11-2040/O1
邮发代号:2-822
创刊时间:1976年
发行周期:双月刊
期刊开本:16开
见刊时间:一年半以上
影响因子:0.553
影响因子:0.322
影响因子:0.352
影响因子:0.000
影响因子:0.000
您的论文已提交,我们会尽快联系您,请耐心等待!
你的密码已发送到您的邮箱,请查看!