摘要:针对吊运钢(铁)水包用起重机叠片式单钩,分别采用有限元法和工程计算法进行应力计算,并进行对比分析,为今后起重机叠片式单钩的设计优化提供参考。
加入收藏
叠片式单钩用于起重机械吊运熔融金属(盛钢桶),由于此类起重机属于特种设备,工作环境高温高粉尘,作为起重机械的直接承载部件,其安全可靠是必须要保证的。通过采用多钩片组成叠片式单钩,组成冗余系统,防止由于单个钩片在加工制造使用过程的缺陷导致整个吊钩失效,从而保证钢包铁水包吊运安全,叠片式单钩示意见图1。
图1叠片式单钩示意图
叠片式单钩内、外钩片的头部焊接在一起,钩身采用销轴焊接压紧或铆钉压紧,钩口部分焊接钩口护板,易碰撞区域焊有防碰护板,单钩和吊叉轴连接部分安装有自润滑轴套。
在单钩设计过程中,工程计算方法通过求解危险截面上的危险点的应力,确定其各截面的最小几何形状尺寸,来保证单钩的使用强度,得不到整个单钩上的应力分布,而且单钩计算涉及到了曲梁、耳孔的计算,工程方法对此通过系数选取进行简化,现通过有限元法对整个单钩进行应力计算分析,可以得到整个单钩上的应力分布,并与简化过的工程计算法进行分析比较,更有宜于今后叠片式单钩的设计优化。
1、工程计算法
1.1计算载荷
叠片式单钩常成对使用,单个吊钩的额定起重量为起重机起质量的一半,选取起重机起重质量为125t板钩进行计算。
1.2叠片式单钩主要尺寸
叠片式单钩主要尺寸见表1。
表1叠片式单钩的参数及主要尺寸
1.3材料及许用应力
用于制造吊钩的材料,必须具有足够的强度和较高的抗冲击性能,考虑到设备的经济性和材料来源的可能性,钢材牌号采用低合金钢Q345B,从材料的强度极限和制造工艺等方面,钩片厚度分别选择20mm,许用应力:
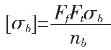
式中:[σb]为以强度极限为基础的许用应力,N/mm2;Ff为制造系数,它与制造工艺和钩片的联接形式有关,当采用切割下料并用铆钉联接时,取0.95;Ft为温度系数,考虑钩身受热辐射影响如b-b截面;σb为在常温条件下的最小强度极限,N/mm2;nb为材料安全系数。
求得[σb]a-a=[σb]c-c=140;[σb]b-b=90;[τ]d-d=0.6;σs=105N/mm2。
1.4应力计算
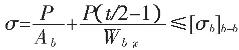
按照工程常用计算方法,选取钩头水平截面aa、钩柄上部水平截面b-b、钩身水平截面c-c、钩身垂直截面d-d四个危险截面进行强度校核。
1)a-a截面。
该截面的应力为计算载荷在截面的拉伸应力和由于钩身平面弯曲而产生弯曲应力的代数和。
式中:α为耳孔的曲率系数,取3;P为吊钩的计算载荷,N;Aa为a-a截面的净面积,mm2;l为载荷的假定偏心作用点距离,mm;Wa,x为a-a截面上对x轴的抗弯模量,mm3;
2)b-b截面。
该截面的应力为计算载荷在截面的拉伸应力和由于钩身平面弯曲而产生弯曲应力的代数和。
式中:Ab为b-b截面的净面积,mm2;Wb,x为b-b截面上对x轴的抗弯模量,mm3;
3)c-c截面。
该截面的应力为计算载荷在截面的拉伸应力,在钩口内侧由计算载荷按曲梁计算的弯曲应力和由于钩身平面弯曲而产生弯曲应力的代数和。
式中:Ac为c-c截面的净面积,mm2;Wc,x为c-c截面上对x轴的抗弯模量,mm3;Wc,y为c-c截面上对y轴的抗弯模量,mm3;Kr为曲梁截面形状系数,mm2。
4)d-d截面。
该截面的应力为计算载荷在该截面产生的纯剪应力和由于平面弯曲而产生扭转剪力的代数和。
式中:Ad为d-d截面的净面积,mm2;Wτ为d-d截面抗扭截面模量,mm3。
2、有限元法
利用三维建模分析软件Solidworks对板钩进行建模分析。
2.1模型建立
建立板钩、板钩轴、钢包轴三个零件,组成计算所需的装配体,见图2。
2.2加载计算
启动插件中的solidworkssimulation,进行静应力分析算例,并为各个零件指定应用材料,如Q345B。在连结选项,选择全局接触无穿透。夹具部分,将板钩轴设定为固定,板钩头部及钢包轴设定为滚柱/滑杆。在外部载荷中,加载引力项,将吊钩提升重量加载到钢包轴上。网格选择精细网格见图3,运行计算。最后得到单钩的应力云图见图4。
图2计算三维模型
图3装配体网格划分
图4单钩应力云图
3、计算结果对比分析
不考虑钩身平面弯曲即载荷假定偏心距为0时,两种方法危险截面上的最大应力值见表2。
表2危险截面上的最大应力
MPa
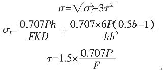
在钩头水平截面a-a两种方法所计算得到的应力值基本相等;钩柄上部水平截面b-b上工程计算值比有限元模拟得到的数值偏小23%;钩身水平截面c-c工程计算值比有限元模拟得到的数值偏大10%;钩身垂直截面d-d工程计算值比有限元模拟得到的数值偏小70%。而且根据有限元模拟显示,在钩口与水平截面呈45°的钩身倾斜截面处有应力值为83.3MPa。所以,在今后的板钩计算中,还应将钩身倾斜截面作为危险截面验证计算,最大应力为按曲梁计算截面内侧最大拉伸应力、不均匀热变形的弯曲应力和纯剪切应力的合成应力:
式中:1.5为计及矩形截面受剪不均匀系数;h为斜截面高度,mm;K为曲梁截面形状系数。
计算得到斜截面应力为73MPa,较有限元模拟值偏小。
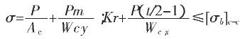
由于实际生产过程中单钩钩不均匀热变形无法确认,应用有限元法无法准确加载,应用工程计算法考虑载荷假定偏心距为25.4mm时,危险截面上的最大应力值见表3。
表3危险截面上的最大应力
工程计算结果与有限元分析相比较,除a-a截面外其他截面上有差异,总体变化趋势相同,在c-c危险截面工程计算法取值较安全,在45°斜截面上工程计算法较有限元值略小,有考虑载荷偏心的情况下,各截面的应力值小于许用值,满足强度要求。在今后的板钩设计中,可按计算结果对单钩尺寸进行优化,如d-d截面两种方法得到的应力值都较小,可在合理范围内减小尺寸,c-c截面也可适当减小尺寸。
参考文献:
[1]张忠将,李敏.Solidworks2010机械设计从入门到精通[M].北京:机械工业出版社,2011.
潘雷涛.叠片式单钩应力计算的有限元法与工程计算法对比分析[J].山西冶金,2020,43(02):23-25.
分享:
小学生在解题过程中,非常容易出现各种各样的错误,而且一旦出现错误,就会对学生的学习造成极大的困扰,干扰学习进度,如何减少学生出错率,对于教师来说是一个挑战,教师要对学生的错误原因进行分析,并以此为基础采取不同的措施,教师可以设计不同类型的题组,让学生通过题组对错误进行对比,有效干预易错题,激活学生的源思维,提高课堂教学效率,实现全面发展和提升。
2021-09-07作为一门研究物质的结构、变化、空间、数量及信息等概念的学科,从本质上而言,数学隶属于科学学科的一种,在人类文化组成中具有重要作用。且数学这一门学科在我国教育制度下作为最基础性的学科,不仅囊括了小学、初中、高中乃至于大学,甚至更高的学级,也同各行各业的飞速发展密切相关,所以快速掌握数学理论知识并对其充满兴趣,对学生而言显得尤为重要。
2021-09-07小学数学日常教学内容的呈现,是依托教科书的,但是学生学习的根本在于从教科书上吸取营养、联系生活、步入实践,在生活中运用知识、在生活中提升综合素养。老师在教学过程中应该处理好日常教学与生活之间的关系,让学生了解数学学习的价值,感悟数学学习的兴趣,从而引领学生在生活中体验数学知识,建立数学情感,真正在体验、探究和理解中引领学生高效发展。
2021-09-07中学阶段在整个教学体系中有着十分重要的意义,这一阶段中的学生在学习数学知识的过程中会遇到各种各样的难题,而学生在不断探索和研究相应解决措施的过程中,一定会出现一些错误,从学生角度而言,出现的错误也可以作为另一种教学资源,数学教师可以在实际教学过程中采用科学合理的教学方法,充分利用错题集,促进中学数学教学质量得到进一步提升,为学生日后更好的发展奠定扎实的基础。
2021-09-07随着教育课程改革的不断深化,传统的教学模式已经不能适应当前义务教育的发展需要,新的教学理念及教学模式应运而生。画图教学作为一种能够培养学生抽象思维能力的重要途径,受到小学数学教师的认可。在素质教育的要求下,数学教师不仅要培养学生学习相关的科学文化知识,更要促进学生多维能力的发展。通过画图教学,学生对数学教学内容的理解会更加深刻,也提升了学生的逻辑思维及解决问题的能力。在本文中,笔者简要介绍了在小学高年级数学的教学过程中,利用画图解决问题的优势,并基于此,提出了相应的教学策略,希望广大教育工作者提出宝贵意见
2021-09-07初中阶段的数学学习在数学教学当中占据着重要的地位,因为它是小学数学以及高中数学的重要衔接阶段,如果学生在初中阶段不认真学习数学,那么当其升入高中之后,很难跟上教师的速度。伴随着教育改革的不断推进,新型的学习模式在数学学习中得到广泛应用,并取得了一定成效。在初中的数学学习中,通过成功地应用合作学习模式,会使数学课程的教学效率得到大幅度提高,极大促进学生学习能力的提高,让课堂的质量真正得到有效的保障,奠定高中数学学习的基础。
2021-09-07数学思想是教师进行教学的指导性内容,对于学生的学习工作有着教育意义,可以帮助学生建立起良好的学习体系。在教学过程中,教师把握数学思想,将其与数学知识巧妙结合,加以创新,赋予其独特的价值与魅力。本文通过介绍不同数学思想,帮助教师灵活数学教学,展现数学风采。
2021-09-02本文主要探究了新课改下中职数学教学模式应该如何创新,旨在通过探究,优化中职数学教学质量,以促进学生在新型教学模式下提升核心素养。文章内容具体如下:教师在开展数学教学时,可以采用信息技术优化预习设计,提高学生的预习质量;可以建立反转课堂,给学生创造更大的自主探究空间,锻炼学生的自主探究能力;可以优化评价模式,促进学生在评价的引领下获得全面发展。
2021-08-31课堂提问一直是数学教师最常用的教学方法,即使学生不喜欢数学,也会在教师的提问作用下,不断提升自身数学学习能力。数学教学在初中教学中占据了较大的比重,提高数学教学质量能够推动学生各方面能力的提升。数学是初中学生的一门重要课程,数学教师的提问有效与否关乎课堂的整体质量。希望能够对初中数学教师课堂教学的顺利开展有帮助,推动我国教育水平的不断提升。
2021-08-31信息技术应用在生活的方方面面,但就教育领域而言,特别是在改进数学教学方式上,动力还稍显不足。本文主要从信息化教学的软硬件平台方面入手,并在此基础上给出一个解决相关问题的闭环处理手段——基于ipad设备中APP软件群交互处理方法,以期为奋战一线的数学教师在信息技术与数学课堂深度融合方面提供必要的操作经验和方法指导。
2021-08-31人气:7757
人气:6590
人气:6027
人气:4807
人气:3748
我要评论
期刊名称:应用数学学报
期刊人气:2350
主管单位:中国科学院
主办单位:中国数学会,中国科院数学与系统科学研究院
出版地方:北京
专业分类:科学
国际刊号: 0254-3079
国内刊号:11-2040/O1
邮发代号:2-822
创刊时间:1976年
发行周期:双月刊
期刊开本:16开
见刊时间:一年半以上
影响因子:0.553
影响因子:0.322
影响因子:0.352
影响因子:0.000
影响因子:0.000
您的论文已提交,我们会尽快联系您,请耐心等待!
你的密码已发送到您的邮箱,请查看!