摘要:微分中值定理是微积分学中的重要基本定理,也是考研数学中的重要考点,学生普遍认为微分中值定理的应用是学习的难点.本文以考研真题为例,来讨论微分中值定理的应用。
加入收藏
微分中值定理是微分学理论的重要组成部分,起着建立函数与其导数之间的桥梁作用,也是研究函数变化形态的纽带,因此在微分学中的地位十分重要。同时也是考研数学中的重要考点,学生普遍认为是学习的难点。本文对考研真题进行剖析,总结中值定理的应用,以便学生能更好地掌握这一知识点。
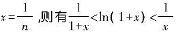
例1(2011年数一、二)证明:对任意正整数n,都有
成立。
证明:根据拉格朗日定理,存在ξ∈(n,n+1),使得
若所证不等式中出现函数值差的形式,可考虑用根据拉格朗日定理。本题中,令
。该结论是一个常用的结论,希望考生熟悉掌握。
例2(2007年数一、二、三)设函数f(x),g(x)在[a,b]上连续,在(a,b)内具有二阶导数且存在相等的最大值,f(a)=g(a),f(b)=g(b),证明:存在ξ∈(a,b),使得f″(ξ)=g″(ξ)。
分析:若令F(x)=f(x)-g(x),本题需要证明存在ξ∈(a,b),使F″(ξ)=0,又F(a)=F(b)=0,若能证明存在η∈(a,b),使F(η)=0,对F(x)反复用罗尔定理可证明本题。
证明:令F(x)=f(x)-g(x),则F(a)=F(b)=0。设f(x),g(x)在(a,b)内的最大值为M。且分别在α∈(a,b),β∈(a,b)取到,即f(α)=M,g(β)=M。⑴若α=β,取η=α,则F(η)=0;⑵若α≠β,则F(α)=f(α)-g(α)=M-g(α)0,F(β)=f(β)-g(β)=f(β)-M#0。此时,由连续函数介值定理知在α与β之间至少存在点η,使F(η)=0。综上所述,存在η∈(a,b),使F(η)=0,由罗尔定理知存在ξ1∈(a,η),ξ2∈(η,b),使得F'(ξ1)=0,F'(ξ2)=0,再由罗尔定理得,存在ξ∈(ξ1,ξ2)(a,b),使得F″(ξ)=0,即f″(ξ)=g″(ξ)。
一般地,证明存在ξ∈(a,b),使f(n)(ξ)=0的命题的有效方法是证明f(n-1)(x)在(c,d)[a,b]上满足罗尔定理,对f(n-1)(x)应用罗尔定理即可证得命题。
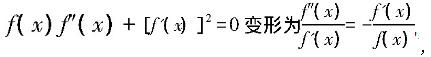
例3(2017年数一、二)设函数f(x)在区间[0,1]上具有2阶导数,且
。证明:
(1)方程f(x)=0在区间(0,1)内至少存在一个实根;
(2)方程f(x)f″(x)+[f'(x)]2=0在区间(0,1)内至少存在两个不同实根。分析:(1)证明方程有根,用零点定理;(2)证明导函数方程有根,利用原函数法构造辅助函数,再用中值定理:
,两边积分lnf'(x)=-lnf(x)+lnc,分离常数f(x)f'(x)=c,辅助函数即为F(x)=f(x)f'(x)。
证明:(1)由与极限的保号性可知,存在c∈(0,1),使得f(c)<0。又f(1)>0,在[c,1]上用零点定理,至少存在一个η∈(c,1),使得f(η)=0,即方程f(x)=0在区间(0,1)内至少存在一个实根。
(2)由函数f(x)在区间[0,1]上可导,从而一定连续,以及
存在,得f(0)=0。由(1)得f(x)在区间[0,η]上满足罗尔定理条件,所以存在ξ∈(0,η),使得f'(ξ)=0。令F(x)=f(x)f'(x),显然F(0)=F(ξ)=F(η)=0。对函数F(x)分别在区间[0,ξ]及[ξ,η]上用罗尔定理得,至少存在两个不同的ξ1∈(0,ξ)及ξ2∈(ξ,η),使得F'(ξ1)=F'(ξ2)=0,即f(ξ1)f″(ξ1)+[f'(ξ1)]2=0及f(ξ2)f″(ξ2)+[f'(ξ2)]2=0。因此,方程f(x)f″(x)+[f'(x)]2=0在区间(0,1)内至少存在两个不同实根。
有关中值定理的证明问题是历年出题频率较高的部分之一,而将中值定理与介值定理或积分中值定理结合起来命题又是最常见的命题形式。
在用罗尔定理时,关键是找出辅助函数,一般用原函数法,即根据要证明的结论:G(ξ,f(ξ),f'(ξ))=0,先将ξ换成x,然后作恒等变形,目的是便于积分,最后再积分并分离常数:F(x,f(x))=c,则F(x,f(x))即为待求的辅助函数。
对于含有两个介值的情形,一般先用一次拉格朗日中值定理(或柯西中值定理),再用一次拉格朗日中值定理(或柯西中值定理)。
微分中值定理在试题中占有非常重要的地位。本文以考研真题为例,列举了微分中值定理的常见的几种应用。通过对微分中值定理的研究,加深了对微分中值定理的理解,有助于更好掌握该定理的解题应用。
参考文献:
[1]同济大学数学教研室.高等数学[M].北京:高等教育出版社,2014(第七版).
[2]李永乐,王式安,武忠祥,季文铎.2019考研数学复习全书[M].北京:国家行政学院出版社,2017.11.
杨雪.微分中值定理在考研数学中的应用示例[J].科技风,2020(17):78.
分享:
Scratch趣味编程要求学生具备程序设计、逻辑思维、实践分析、创作作品的能力。在教学实践过程中我认为“基于问题式的学习”(简称PBL)是在课堂教学中,教师引导学生研究探索,以问题为引入点,结合实际的环境,运用多种信息技术解决问题,从而达到教学目标的一种模式。
2021-09-07初中的数学知识相对而言比较复杂,知识点之间的联系性也并不是很紧密,因此针对以上问题就需要教会学生,如何有效掌握良好的学习方法,并且要让学生能够重视到错题本的重要性,从自身的学习情况与接受能力出发,从根本上提升学生的最终学习效率,也能同时起到事半功倍的效果。对于错题本的整理能够培养学生具备归纳与整理知识点的能力,也能同时促进初中生的全方位发展。本文主要通过对错题本的重要性进行深入分析,探讨出如何让学生有效提升学习成绩的最终方案。
2021-09-07在新课程教育改革浪潮的推进下,沪科版数学教材经历了多次修订,新教材的普及和应用为当下教学注入了新的活力,也给教师教学带来了新的挑战。那么如何设计教学环节,做到收与放,让学生在活动中可以发挥出更大的主动性,各项能力在其中得到锻炼,值得我们在教学实践中探索。本文笔者将分享在初中数学课堂教学实践中的一些心得和经验积累,希望可促进教学效果更佳。
2021-08-31这些年来,我国的素质教育不断推进,对于学生的综合素养有了更高的要求。在高中数学教学的过程之中,强调培养高中生的创造性思维能力,发挥他们的想象力,提升他们的自主学习性。带领高中生掌握数学学习技巧,取得更加优异的数学成绩。笔者在本文之中,就如何在高中数学教学过程之中,培养高中生的创造性思维能力,展开了详细的探讨。旨在全面提升高中课堂教学效率,促进学生全面发展。
2021-08-31课程标准2020修订版提出重视考察学生在比较真实的情境中解决问题的能力,就是彰显数学文化,提高学生的核心素养。在知识的生成过程中融入数学文化,在章引言中体验数学的文化价值,在定义和标准方程的推导中体验数学的科学价值,在性质中体验数学的审美价值,在生活中体验应用价值,培养学生用数学知识方法解决问题的创新意识,活用数学思想方法攻坚克难,彰显数学文化的魅力。
2021-08-31在快节奏的生活中,人们对于餐饮便捷性的追求,使得外卖行业不断壮大。外卖配送作为外卖行业的重要环节,受到了各大外卖平台以及顾客的广泛关注。在配送过程中,如果只依据配送员的经验进行配送,很容易出现配送超时以及配送路径不合理的现象,以此带来不必要的损失。因此,在外卖配送方面进行各种优化,对于提高外卖配送水平具有重要意义。
2020-12-02随着中国城市经济的快速发展、人口数量的不断增长、出行量的不断增大,因此,飞机、出租车成为出行方式中不可或缺的一部分。由于飞机的起飞和降落对周边环境要求较高,而且飞机起降时噪音很大容易对周边居民产生影响,所以机场大部分情况都会建在离市区较远的地方。
2020-11-27针对1948年1月到2019年12月美国失业率的时间序列数据,利用ARIMA和SARIMA模型分别进行分析,我们得到的最优模型为ARI-MA(2,2,0)。因此ARIMA(2,2,0)模型或许能较好的拟合美国失业率的时间序列模型,但由于失业率会受到宏观因素条件的影响,以及模型本身的限制因素,只能进行短期的预测。
2020-10-232010年Magal等[5]5]研究了年龄依赖模型,通过线性化和构造Lyapunov函数等证明平衡点的全局稳定性,至此以后开启了年龄结构模型的建立分析.由于考虑到染病者的潜伏期与疾病的复发都会与年龄有关,这些关系都会影响疾病的整个流行趋势,故建立年龄结构模型研究分析已经是很多学者都在考虑的问题.
2020-09-09黄金价格的动态演变过程也反映了金融市场中经济行为主体的投资决策,黄金价格的动态演变过程也是一种数据生成的过程。国内外学者对黄金价格趋势研究所使用的方法很多但具有一定的局限性,如供需法、美元法、成本法、回归模型法等。本文将利用时间序列相关理论对伦敦黄金交易市场的黄金价格建立ARMA-GARCH模型,并进行实证分析。
2020-07-09人气:4545
人气:3576
人气:3353
人气:3106
人气:2961
我要评论
期刊名称:数学进展
期刊人气:3695
主管单位:中国科学协术协会
主办单位:中国数学会
出版地方:北京
专业分类:科学
国际刊号:1000-0917
国内刊号:11-2312/O1
邮发代号:2-503
创刊时间:1955年
发行周期:双月刊
期刊开本:16开
见刊时间:一年半以上
影响因子:0.553
影响因子:0.322
影响因子:0.352
影响因子:0.000
影响因子:0.000
您的论文已提交,我们会尽快联系您,请耐心等待!
你的密码已发送到您的邮箱,请查看!