摘要:从种群密度量化方面对于睑虎属物种的研究比较少,而多集中在系统进化与新种描述方面。为对海南吊罗山国家级自然保护区海南睑虎现状进行分析,2019年7—9月,在保护区内选取2个不同海拔梯度的样区(A样区551-688m和B样区289-448m),采用标记重捕法对该物种的种群密度进行了调查,并分别采用Schnabel法和Lincoln指数法进行种群密度估算。结果显示:采用Schnabel法估算的种群密度A样区为501只/hm2,B样区为1999只/hm2;采用Lincolri指数法估算的种群密度A样区为583只/hm2,B样区为1403只/hm2。结果显示:采用Schnabel法估算的种群密度A样区为501只/hm2,B样区为1999只/hm2;采用Lincolri指数法估算的种群密度A样区为583只/hm2,B样区为1403只/hm2。结果表明: 海南吊罗山国家级自然保护区海南睑虎种群密度随着海拔的增高而减少。
加入收藏
海南睑虎Goniurosauru hainanensis隶属于爬dae睑虎属Goniurosaurus,为海南省特有种,首次发行纲Reptilia有鳞目Squamata睑虎科Eublephari-现于海南省五指山。文献记载该物种分布在我国海南岛的陵水、保亭、海口和琼中(GrismeretaL,2002;Blairetal.,2009;张汾,李友邦,2017)。近年来,由于海南睑虎栖息地破碎化、分布区狭窄以及宠物市场的大量需求等因素,该物种野外种群资源受到极大威胁(齐旭明等,2011),已被《中国濒危动物红皮书(第二卷):脊椎动物(下册)》列为易危(VU)等级(汪松,解巍,2009)。
目前关于睑虎属物种的研究主要集中在新种的描述和系统进化等方面(Grismeretal.,2002;WangetaZ.,2019;ZhaietaZ.,2019),种群密度量化研究较少。本课题组前期对霸王岭睑虎G.bawan-glingensis种群密度开展了相关研究,为该物种资源现状评估提供了基础数据(陈一帆等,2019)。目前有关海南睑虎的研究也主要集中在分类分布方面(Grismeretal.,2002;Blairetal.,2009;张洁等,2014;Liangetal.,2018),关于其野生种群密度和基础生态学资料基本空白,掌握物种种群密度及其动态变化对于物种资源现状评估和保护具有重要意义。野生动物种群数量及密度的有效评估较为复杂,不同物种的种群密度调查和统计的方法也有所不同(阳春生等,2017)。种群密度调查研究中常用的方法有样区法和标记重捕法,其中标记重捕法常见的种群密度估算方法有:Lincoln指数法、Schnabel法和Jolly-Seber法(孙儒泳,2001;张旭等,2012)。鉴于此,2019年7—9月,在海南吊罗山国家级自然保护区采用标记重捕法对海南睑虎种群密度开展了调查研究,以期为掌握该物种种群动态、评估资源现状和保护提供依据。
1、材料与方法
1.1 研究区域
海南吊罗山国家级自然保护区地跨陵水、保亭和琼中3个县,地理坐标109°45'05"~109。57'071、18°40'08"~18°49'19"N,面积18398hm2,其中林地面积18356.34hm2,森林覆盖率99.82%,是海南四大林区之一。林区干湿季节分明,年均降水量为2160mm,每年的5月底到10月底为雨季,降水量64占全年的四分之三;11月初至翌年5月初为旱季(邱治军等,2004;韩天宇等,2019)。根据前期海南睑虎野外分布的预调查结果,在研究区域内选取了2个不同海拔区间的样区,分别标注为A样区(海拔551-688m,长3000m,宽2m)和B样区(海拔289-448m,长3000m,宽2m)。出于对物种的保护,调查样区具体地理位置不予公布。
1.2 调查方法
根据海南睑虎的生活习性,采用样线法于每天20:00—20:30开始调查,从样线起点保持匀速前行,对沿途发现的海南睑虎进行捕捉标记。发现个体采用植入式动物电子标签进行标记:将植入式动物电子标签经专用标签注射器植入动物距泄殖腔前1~2cm处的皮下,经前期预实验检测该标签可长期保存,且容易识别,对动物的日常活动影响较小。个体标记完毕后,记录被标记个体的标签编号和标记时间等信息后原地释放。在重捕调查过程中,对观察到的个体进行捕捉,并用读码扫描仪对其进行识别、记录编号后原地释放(陈一帆等,2019)。
1.3 数据处理
分别采用Schnabel法和Lincoln指数法估算海南睑虎种群密度(孙儒泳,2001;张旭等,2012)。
1.3.1 Schnabel法中的定义与术语
式中,a为重捕总次数;i为取样次数=1,2,3,……);C:为第i次取样时发现个体的总数(其中包含未捕捉个体);尺为第i次取样时捕获的个体数中已经标记个体的总数;S为第i次取样时新标记并释放的个体总数;眩为第i次取样时种群中已标记的个体总数。
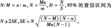
1.3.2 Lincoln指数法中的定义与术语
式中,D为种群密度;S为样区面积;N为该地段中全部个体数;M为标记个体数量;"为重捕个体数量;m为重捕个体中有标记个体数量。
2、结果
2.1 Schnabel法
A样区共进行了6次标记9次重捕(表1),共标记50只,种群数量为301只,种群数量95%置信区间为301只±36只,种群密度为501X/hm2;B样区共进行了6次标记9次重捕(表2),共标记229只,种群数量为1200只,种群数量95%置信区间为1200只±332只,种群密度为1999只/hm2。
表1A样区标记重捕数据Schnabel法估算结果;表2B样区标记重捕数据Schnabel法估算结果
2.2 Lincoln指数法
A样区进行7次标记3次重捕,共标记个体50只,重捕个体共14只,重捕个体中有标记个体数量为2只,种群数量为350只,种群数量95%置信区间为350只±450只,种群密度为583只/hm2;B样区进行7次标记3次重捕,共标记个体229只,重捕个体共147只,重捕个体中有标记个体数量为40只,种群数量为842只,种群数量95%置信区间为842只土202只,种群密度为1403只/hm2(表3)。
表3标记重捕数据Lincohi指数法估算结果
3、讨论
标记重捕法常用于爬行动物种群生态学研究(阳春生等,201刀,对不同物种的种群数量及密度估算时采用的算法也有所不同(丁岩钦,1994;吴鹏飞等,2005;张旭等,2012)。在调查过程中发现,海南睑虎野外种群分布不均匀,这可能导致标记个体与未标记个体被捕的机会不同,且低密度区的重捕率较低。因此在采用Lincoln指数法估算A样区种群密度时置信区间范围过大,无法保证估算结果的精确性。而采用Schnabel法对海南睑虎种群密度进行估算时较Lincoln指数法估算的结果更高,在重捕到第6、7次时,估算的种群数量和置信区间结果开始趋于稳定。本研究结果认为,在海南睑虎种群密度估算中Schnabel法较为适用,标记重捕次数达到6次即能满足数据分析要求。种群密度是种群生态学研究中的重要内容,是反应种群消长及资源现状的重要指标,对濒危物种科学评估、保护和管理具有重要意义(龚世平等,2006;Stephensetal.,2006)。
本研究首次对海南吊罗山国家级自然保护区的海南睑虎种群密度进行了调查,结果显示,A样区种群密度为501H/hm2,B样区种群密度为999只/hm2。文陇英(2007)调查兰州郊区的丽斑麻蜥Ere加asargus和草原沙蜥P/iry-nocephalus frontalis种群密度分别为129只/hm2和100H/hm2。而本研究中海南睑虎种群密度较高,可能与不同物种特性和栖息地环境差异有关。热带地区独特的气候特点,孕育了丰富而独特的生物多样性资源,植被类型也更为丰富(黄勇,王跃招,662011)。本次调查研究区域属于典型的热带雨林,雨水充足,动物食物丰富度较高,对于营穴居生活的睑虎属物种具有较高的适合性。
海拔综合了温度、降水等气候因子,也包含了植被类型、植物丰富度等生态因子,对动物的分布会产生较大的影响(McCain & Grytnes,2001;Barry,2008;王同亮等,2015;陶夏秋等,2018)。本研究结果显示,海南吊罗山国家级自然保护区海南睑虎种群密度随着海拔的增高而减少,与陈一帆等(2019)对霸王岭睑虎种群密度调查的结果(845只/hm2,海拔180~307m;591R/hm2,海拔329-382m)相似,但影响睑虎属物种种群密度海拔分布差异的因素尚有待进一步调查研究。
本研究发现,人为活动和干扰较强的低海拔区为海南睑虎的主要分布区,但槟榔Arecacatechu和龙眼Dimocazpiwlongan等经济作物的种植一定程度上导致了栖息地质量下降和破碎化。此外,调查过程中也发现海南睑虎被车辆碾压致死的现象,海南睑虎主要活动时间在夜间,因此建议尽量减少夜间车辆行驶,降低人为干扰对该物种的影响。
致谢:项目执行得到海南省野生动植物保护管理局莫燕妮局长、王世力科长和齐旭明科长等人的大力支持;实验得到海南师范大学博士研究生卜荣平、硕士研究生陈一帆、李汉东的协助;文章修改得到海南师范大学郭蕊老师的宝贵意见和建议;野外工作和生活得到海南吊罗山国家级自然保护区管理局工作人员的帮助和照顾,在此一并表示感谢。
参考文献:
[1]陈一帆,翟晓飞,陶星宇,等.2019.标记重捕法对模式产地霸王岭睑虎种群资源调査[J].四川动物,38(4):420424.
[2]丁岩钦.1994.昆虫数学生态学[M].北京:科学出版社.龚世平,史海涛,陈川,等.2006.海南岛黎母山四眼斑水
[3]龟种群密度与空间分布格局[J].动物学杂志,41(6)54-59.
[4]黄勇,王跃招.2011.海南岛两栖爬行动物生物地理学研究进展[J]・四川动物,30(2):304-309.
[5]齐旭明,田蜜,李小成,等.2011.霸王岭脸虎种群及数量状况研究[J].热带林业,39(1):4749.
[6]邱治军,刘海伟,李桂梅,等.2004.海南省吊罗山自然保护区水文条件与水资源[J].热带林业,32(2):3437.孙儒泳.2001.动物生态学原理(第三版)[M].北京:北京师范大学出版社.
[7]陶夏秋,崔绍朋,蒋志刚,等.2018.新疆阿勒泰地区爬行动物区系及多样性海拔分布格局[J].生物多样性,26(6):578-589.
[8]汪松,解叙.2009.中国物种红色名录(第二卷):脊椎动物(下册)[M].北京:高等教育出版社.
[9]王同亮,程林,兰文军,等.2015.江西武夷山国家级自然保护区两栖动物多样性及海拔分布特点[J].生态学杂志,34(7):2009-2014.
[10]文陇英.2007.丽斑麻蜥和草原沙蜥的种群调查[J].甘肃科学学报,19(1):88-90.
[11]吴鹏飞,曾宗永,王跃招,等.2005.青海沙蜥种群密度调查的一种新方法[J].生态学杂志,24(10):1241-1244.
[12]阳春生,罗树毅,李锤慧,等.2017.样线法和标志重捕法在鳄蜥种群数量调查中的应用比较[J].野生动物学报,8(2):291-294.
[13]张汾,李友邦.2017.我国睑虎属的分类和保护研究进展[J].安徽农业科学,45(1):1-3,7.
陶星宇,翟晓飞,王同亮,崔硕,汪继超.海南睑虎种群密度调查研究[J].四川动物,2020,39(1):63-67.
基金项目:海南省野生动植物保护管理局项目;海南省普通高等学校研究生创新科研课题(Hys2018-233).
分享:
产气荚膜梭菌 (Clostridium perfringens) 又称魏氏梭菌, 属于梭菌属, 是一种厌氧的革兰阳性芽胞杆菌, 通过分泌不同基因编码的毒素引起动物和人发生腹泻和肠炎等胃肠道疾病[1]。 已知产气荚膜梭菌可分泌超过 20 种外毒素[2], 如 α、 β、 ε 和 ι 致死毒素, 肠毒素 (CPE) 和坏死性肠炎毒素 ( netB)[3],这些毒素能产生特定的疾病症状,。
2025-02-12非洲猪瘟能够对养猪业造成重大打击。在生产实践中,往往是在发现死猪后才发现是非洲猪瘟,这非常不利于对这种疾病的防控。在疾病监测中,有效早期发现传染病是最具成本效益的战略,从而最大程度地降低猪疫情风险。另外,防疫管理工作也是生猪养殖过程中不可或缺的一部分。
2024-06-04有毒动物(蜜蜂、蛇、水母、蚂蚁和蟾蜍等)广泛存在于世界各地,它们通过产生毒液来捕获猎物或保护自身安全。随着科学技术的发展,人类开始了解动物毒液的生物特性并对其进行开发和利用[1]。现阶段由于抗菌药的不合理使用所带来的细菌耐药性问题造成了世界范围内的困扰,威胁公共卫生安全[2]。
2024-06-04研究显示,75%~85%的3周龄以上的犬患有牙周病(Periodontal disease, PD),且大部分都未得到合适的治疗,PD的特点是牙龈炎和牙周炎,前者是牙龈炎症,后者是牙周韧带和牙槽骨的炎症,这些情况的发生与牙菌斑沉积密切相关,牙菌斑中含有大量口腔致病菌,在引起免疫反应的同时还会对口腔组织造成损害。
2024-05-17Dixon等在2012年发现了一种新的细胞死亡形式,主要由铁积累产生大量的脂质活性氧(Reactive oxygen species, ROS)而导致细胞死亡,将其命名为铁死亡。ROS和抗氧化系统通过复杂的特殊机制控制氧化应激,维持细胞的动态平衡,这种情况在中枢神经系统(Central nervous system, CNS)中也存在。
2024-05-17KMT2基因是肌酸激酶(CK)的亚基亚型之一,是细胞能量稳态的基础,CKMT1和CKMT2是线粒体CK(MtCK),位于线粒体的外周膜间空间,用于建立内膜与外膜之间永久性接触[1]。在脊椎动物中,CKMT2主要表达于横纹肌组织,如心肌、骨骼肌和大脑等[2]。
2024-01-09随着生命科学和生物技术的不断进步,基因编辑技术已经成为一种强大的工具,用于疾病研究、治疗和防疫工作。在动物疾病模型的构建和应用中,基因编辑技术为研究人员提供了独特的机会,以深入了解疾病的发病机制,开发新的治疗方法,以及改进防疫措施。
2024-01-09BE理念是成果导向教育的简称,亦称能力导向教育、目标导向教育或需求导向教育,是职业教育教学的重要理念。其核心是以学生为中心、成果为导向、持续改进。在教学中想让学生取得的学习成果是什么,为什么让学生取得这样的学习成果,如何有效帮助学生取得这些学习成果,如何知道学生已经取得了这些学习成果[1]。
2023-12-29动物园饲养员在工作中可能遭受动物的咬伤,这可能对他们的心理造成较大的影响。在这种情况下,进行安全防护及伤后心理护理对于帮助饲养员恢复和调整至关重要。动物园被咬伤饲养员的个人防护和被咬伤后心理护理不仅关乎他们个人的心理健康,也与他们的职业生涯和幸福感密切相关。通过给予他们安全防护装备的选择、安全防护知识的培训与指导,被咬伤后情绪调节和情感表达的支持,提供心理疏导和心理治疗的帮助,以及推动心理康复和复原的措施,可以帮助他们重新获得内心的平静和坚强。
2023-12-19据统计,62%的人类传染病都是经由动物向人类传播的[1],通过流行病学调查,发现感染禽流感的患者往往与病禽有接触史,所以无害化处理病害动物是阻断人兽共患病传播的有效措施[2]。如果是重大动物疫病或人畜共患病病原传播,就有可能引发重大动物疫情或人畜共患病疫情,威胁生态环境安全,危害公共卫生安全,影响畜牧养殖业的健康发展。随着养殖规模的不断扩大,病死动物科学无害化处理的重要性愈加明显。
2023-12-13人气:5031
人气:4416
人气:3764
人气:3368
人气:2697
我要评论
期刊名称:动物学杂志
期刊人气:2337
主管单位:中国科学院
主办单位:中国科学院动物研究所,中国动物学会
出版地方:北京
专业分类:生物
国际刊号: 0250-3263
国内刊号:11-1830/Q
邮发代号:2-422
创刊时间:1957年
发行周期:双月刊
期刊开本:大16开
见刊时间:一年半以上
影响因子:1.343
影响因子:1.227
影响因子:1.286
影响因子:0.000
影响因子:1.349
您的论文已提交,我们会尽快联系您,请耐心等待!
你的密码已发送到您的邮箱,请查看!