摘要:针对智能加工系统作业流程和背景,在一道工序无故障的基础上,解决两道工序无故障的问题。本文通过确立刀具分配模型和建立双目标函数并基于Python语言及PyCharm等软件编程平台求得智能RGV二道工序无故障的动态调度优化策略,利用所给数据,验证了模型的合理性和有效性。
加入收藏
1、引言
RGV是一种无人驾驶、能在固定轨道上自由运行的智能车。它根据指令来控制移动方向还有距离,具有一个机械手臂、两只机械手爪加一个物料的清洗槽,能够完成上下料及清洗物料等任务。2003年,Malmborg教授及其课题组首先提出自动小车存取系统,它主要包括轨道导引小车系统,通过RGVS小车进行货物存取。RGVS控制系统通常与AGVS比较,RGVS智能加工系统优化调度一直是研究的热点。罗键等初步概述了智能加工系统调度的一般方法。范华丽等人研究了调度规则的选择和评价方法,并详细介绍了使用较多的稳态仿真方法和表现较好的人工智能方法。吴焱明,刘永强等通过遗传算法时利用多重编码技术,[1,3]结合计算机模型仿真求解进行研究。刘丰瑞,沃芸婷等分别基于最优路径和动态规划算法研究智能RGV动态调度策略[2,4]。
2、模型的建立与求解
本文就2018年全国大学生数学建模竞赛B题进行研究,针对二道工序无故障的情形,给出智能RGV动态调度优化策略和系统的作业效率。模型假设:RGV到需作业的CNC处,即可上下料;RGV是匀速运动;RGV在去处理当前CNC的路径上不会接收其他CNC的需求。
2.1两道工序刀具分配模型的建立
对于两道工序加工物料,生料的加工过程需要两道工序,需要有不同的CNC安装不同的刀具分别加工完成。我们需要根据加工不同工序的CNC数量和分布位置来得到RGV的最优调度方案,设每一个物料完成第一道工序的时间为T1,第二道工序时间为T2,CNC的数量可以由不同工序的时间比值来决定,即,n1+n2=8,n1,n2分别为完成第一道工序和第二道工序的CNC台数。工序的CNC在工作期间加工完成物料可能的最大数目分别为
一次总工作时间内两道工序最多可能加工完成的物料数目为
其中rj表示CNC上下料时间,N1j表示加工第一道工序的物料数目,N2j表示加工第二道工序的物料数目,N0表示加工物料的总数目。
接下来确定CNC的位置分布情况,我们的目标是使得CNC完成一、二道工序之间的空闲时间尽量短,建立以下模型:
其中,Mki表示第i台CNC是否执行了第k道工序,Rij(1≤i≤8)表示第j个物料成料时,RGV将其从第一道工序CNC移动到第二道工序CNC的时间。
2.2两道工序的模型建立
设计思路:
第一步:系统启动,RGV处于初始位置,按照最短路径进行上料作业(先奇后偶),先为加工第一道工序的CNC执行上料作业,待第一道工序完成,再为加工第二道工序的CNC上料,开始系统处于初始状态,所有的初始状态都赋予初始值。
第二步:RGV位于某CNC处,为当前的CNC依次上下料,判断该物料的加工情况,若物料还需第二道工序,则等待加工第二道工序的CNC发出的命令,若物料已是完成两道工序的熟料,则将进行清洗作业和将清洗过的成料送到下料传送带上送出系统,每完成一台CNC的一次作业,各相关时间进行一次更新与记录。
第三步:RGV判断所处周期的所有物料两道工序作业是否完成,若该周期所有物料两道工序作业已完成,则判断是否总的作业已完成,若该周期的所有物料两道工序作业未完成,则继续执行后续的CNC工序加工作业,转到下一步,否则回到初始位置进行下一周期的上下料、加工作业,如果已完成总的任务,则在完成最后一个物料的清洗作业后,回到初始位停机,且计算出工作的效率。
第四步:RGV判断需要上下料作业的CNC位置,并确定移动距离,执行第二步。
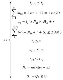
为使系统的加工作业效率最高,本文建立了两个目标函数:
一个班次内(8小时)物料完成加工的总数最多:
一个班次内8台CNC总的的等待时间最短:min∑Tj
约束条件如下:
其中,tj,sj分别表示第j个物料上料开始时间和下料开始时间,Nji表示RGV把第j个物料运送到编号为Bi的CNC的时间,Wi表示第i个物料的清洗时间rj1表示第j个物料在奇号位的上下料时间,rj2表示第j个物料在偶号位的上下料时间,Q1表示奇数位编号的CNC分配的刀片数,Q2表示偶数位编号的CNC分配的刀片数,Mki表示第i台CNC是否执行了第k道工序。
3、结果分析
我们建立模型算法可直接输出每个成料的上下料时间和所加工的CNC编号。以第一组数据为例,只给出部分调度方案如表1所示。三组数据下系统的作业效率分别为:70.3%、55.9%、58.1%。
表1一道工序无故障下第一组数据部分调度方案
参考文献:
[1]吴焱明,刘永强,张栋,赵韩.基于遗传算法的RGV动态调度研究[J].起重运输机械,2012(6):20-23.
[2]刘丰瑞,邢凯铭,张宇航,等.基于最优路径的随机故障智能RGV动态调度策略[J].电子技术与软件工程,2018(23):160.
[3]刘永强.基于遗传算法的RGV动态调度研究[D].合肥:合肥工业大学,2012.
[4]沃芸婷,禹一童.基于动态规划算法的RGV智能调度策略[J].工业技术创新,2018,5(6):44-47.
刘思玲,邹庆云,首莹清,陈琪雯,伍三宝.智能RGV的动态调度策略[J].科教文汇(下旬刊),2019(12):91-92.
基金:湖南省大学生创新训练项目(2018,智能RGV动态调度策略的数学模型);湖南省普通高校教学改革项目([2017],356);中学教育校企合作创新创业基地资助.
分享:
2020年5月28日,教育部印发《高等学校课程思政建设指导纲要》,全面推进高校课程思政建设。《纲要》指出,全面推进高校课程思政建设是深入贯彻习近平总书记关于教育的重要论述和全国教育大会精神、落实立德树人根本任务的战略举措,高校要深化教育教学改革,充分挖掘各类课程思想政治资源,发挥好每门课程的育人作用,全面提高人才培养质量。
2020-11-21随着现代科学技术的飞速发展,运筹学相关研究日渐深入,应用范围日趋广泛,在军事领域中的作用也越来越重要。军事运筹学是应用数学和计算机等科学技术方法系统研究各类军事活动,并为决策优化提供理论和方法的军事学科,具有多学科综合交叉、注重实际应用、应用范围广、注重方案的最优性等特点。
2020-08-10《运筹学》是一门把科学的方法应用于建立和求解数学模型,以便采取行动解决实际问题的科学。也就是运用科学的方法(如分析、试验、量化等)来决定如何最佳地运营和设计各种系统的一门学科。[1,2]运筹学也是一门综合性学科,其整合了数学、计算机及其其他相关科学内容,以期获得最优的结果做出最准确的决策。
2020-08-10在全球能源消费日益增长的背景下,除了建造新的发电厂外,“需求响应”为缓解紧张的电力需求提供了一个经济有效的方法。在需求响应模式下,供电商在电力批发市场价格升高或系统可靠性受威胁时给电力用户发出电力价格变更信号或诱导性调整负荷通知,电力用户根据这些信号改变习惯用电模式,错峰用电,从而保障电网稳定,并抑制电价上升的短期行为。
2020-07-08RGV是一种无人驾驶、能在固定轨道上自由运行的智能车。它根据指令来控制移动方向还有距离,具有一个机械手臂、两只机械手爪加一个物料的清洗槽,能够完成上下料及清洗物料等任务。2003年,Malmborg教授及其课题组首先提出自动小车存取系统,它主要包括轨道导引小车系统,通过RGVS小车进行货物存取。
2020-07-08专利是知识产权的主要表达形式,在当今知识经济、科技引领的时代下,已成为企业发展和竞争的制高点。专利质量体系与企业的运营发展息息相关,企业传统的产品市场占有量发展模式逐步采用创新竞争模式。对于企业而言,专利是保护自身产品、防御对他人侵权的重要武器;是企业技术创新能力的证明;是企业规划开辟多源收入的重要手段。
2020-07-08在工程设计中,材料不均匀、安装误差等问题的存在,往往会对结构性能造成各种影响甚至破坏。传统结构设计没有考虑施工过程中的不确定因素,而实际施工中载荷和材料性质等不断变化,这些不确定因素会使失效概率不断增大。为了确保产品的结构可靠性,有必要对不确定结构可靠度分析方法进行研究。
2020-07-08“魔鬼在细节”。做好国际工程项目,要如履薄冰,因为往往一个细节的疏忽,就会导致项目成本大幅增加。做好一个项目,业主和承包商之间需要一种良好的合作氛围。对于承包商来说,不能过于计较一城一池的得失,该放弃的放弃,该争取的争取,最终会形成一个共赢的局面。
2020-07-08依据《孙子兵法》对国家情报战略进行系统运筹,能够明确在国际情报对抗中的情报主体与情报客体的资源与结构,所面临的问题和所受的限制,指导国家情报工作有目的地进行“造形”与“治气”,创造情报主体的行动优势,取得情报对抗的胜利,为国家安全与发展保驾护航。
2020-07-08自由粒子优化算法作为基于量子算法模型中的骨架模型,结构简洁,易于实现,通过对算法进行策略的改进,会使得算法的性能得到很好的提升。在自由粒子模型下的零势阱和谐振子模型下的高斯势阱的启发下,将优化问题中的目标函数进行势阱等效和泰勒近似实现量子模型下的转化,通过粒子在空间中的存在形式指导优化算法的寻优过程,实现量子模型的搜索机制。
2020-07-08人气:3208
人气:2783
人气:2628
人气:2542
人气:1558
我要评论
期刊名称:运筹与管理
期刊人气:3022
主管单位:中国科学技术协会
主办单位:中国运筹学会
出版地方:安徽
专业分类:科学
国际刊号:1007-3221
国内刊号:34-1133/G3
邮发代号:16-191
创刊时间:1992年
发行周期:月刊
期刊开本:大16开
见刊时间:一年半以上
影响因子:0.553
影响因子:0.322
影响因子:0.352
影响因子:0.000
影响因子:0.000
您的论文已提交,我们会尽快联系您,请耐心等待!
你的密码已发送到您的邮箱,请查看!