摘要:培养高职学生的创新能力是高等职业教育的重要使命和担当,高职数学建模课程案例教学紧密围绕创新能力培养这一主线,总结了数学建模和竞赛五个作用,分析了案例教学的六个特点,剖析了案例教学应该注意的三个问题:选择合适的案例、充分发挥教师的主导作用和学生的主体作用,以易拉罐的优化设计模型为例阐述案例教学课堂设计理念。
加入收藏
创新是一个民族进步的灵魂,是国家兴旺发达的不竭动力。高等学校是创新性人才培养的摇篮,高职教育是高等教育的一个类型,高职院校规模占据高等学校半壁江山,高职学生与本科生相比,普遍存在创新意识淡薄、创新精神缺乏、创新能力不足等现象,因此,培养高职院校学生创新能力是每一名教育工作者的责任和义务。数学建模于20世纪80年代成为一门新兴的大学数学课程,是连接数学与工业、经济、社会生活的桥梁,在创新性人才培养中具有不可替代的作用。然而,对数学建模课程运用传统方法教学,学生参与度不高,教师拼命地教,学生被动地接受,效果不佳。采用案例教学,从传统的以教师为中心的教学模式向以教师为主导、学生为主体的教学模式转变,充分调动学生课上、课下的积极性,是提高数学建模课程教学效果、培养学生创新能力的有效途径之一。
一、数学建模及竞赛在创新能力培养中的作用
创新常常是在问题解决中产生的,问题解决是创新的源泉,是创新的土壤,当然,不是所有的问题解决都是创新,但创新一定是来源于问题的解决。问题解决一般分为四个步骤:1.准备。认识问题,进行联想,试图用术语对问题进行解释;2.孕育。对问题一步一步分析,理清问题的逻辑结构,找出与其它相关问题的联系;3.明朗。得出问题的解决方法,有时会产生顿悟一样的感觉;4.验证。检验解决方法是否正确,若正确,问题得到解决,不正确,则全面重复或者部分重复前面的解决问题的过程。[1]
数学建模就是从问题出发,通过分析问题,在合理假设的基础上,建立问题之间的联系,找出问题的客观规律,达到问题解决的目的。数学建模的四个步骤为:模型准备-模型分析(孕育)-模型求解(明朗)-模型验证,建模过程就是问题解决的全过程,也是创新思维产生的过程,三者在很大程度是相通的。
全国大学生数学建模竞赛创办于1992年,每年一次,是一项深受广大师生欢迎的赛事,其宗旨:创新意识,团队精神,重在参与,公平竞争。竞赛试题来自科学与工程技术、社会、经济、生活某个领域的实际问题,由专家简化、加工、提炼而成,具有非常高的代表性和权威性,略高于大学生认知结构和知识水平。学生3人组成一个竞赛队,挑选一道题目,完成一篇包括模型的假设、模型的建立和求解、结果的检验和分析、模型的改正等方面的论文。论文的评阅以假设的合理性、建模的创造性、结果的正确性和文字表述的清晰程度为主要标准。
数学建模和竞赛对培养学生创新能力的作用主要体现在五个方面:一是大多数建模问题来自学生未接触的领域,在建模过程中,学生必须学习新知识、新方法、新技术,从而培养了学生与时俱进的学习能力和文献资料的查阅能力;二是大多数建模问题没有准确的答案,没有固定的求解模型,假设不同答案也不一样,在整个建模过程中,学生的思维不受约束,建模的方法灵活多样,从而培养了学生抽象思维的简化能力和发散思维的联想能力;三是数学建模和竞赛需要团队的合作,在整个建模过程中,个人既要独立承担自己的建模任务,又要相互协作、共同讨论,从而培养了学生丰富灵活的想象能力和团结协作的攻关能力;四是数学建模从实际问题出发,构建一个理论模型,再用实际数据检验模型,然后应用模型指导现实世界,为学生提供了从实践到理论,再从理论回到实践的科学训练方法,从而培养了学生会抓重点的判断能力和活学活用的创造能力;五是数学建模竞赛最终是提交一篇论文,论文的撰写水平直接影响评奖结果,从而培养了学生科技论文的写作能力和灵活运用的综合能力。
二、案例教学在创新能力培养中的特点
案例教学法是为了预定的教学目标,在教师的指导下,由学生对选定的典型案例,进行有针对性的分析、思考和讨论,作出自己的判断和评价的教学方法,教学过程由传统的讲解说明进程转变为通过情景假设、问题探究、合作学习、意义建构等以学生为主体的过程,它的显著特点就是案例的运用,这是区别其他教学方法的关键。数学建模案例是来自工业、经济、生活等典型的实际问题,如“椅子能在不平的地面放平吗”?就是一个来自生活中的数学建模案例,通过构建椅脚到地面距离和的函数,利用连续函数介值定理可以得出其结论。数学建模案例教学法就是利用这样的案例进行教学的一种方法,它具有以下特点:
(一)问题的综合性
数学建模案例来自工业、经济、社会等领域,问题复杂、内涵丰富。要求学生不仅需要具备基本的数学理论知识,还需要学生通过查阅文献、综合运用各种专业知识和灵活的技巧来求解问题。
(二)理论的应用性
数学理论抽象难懂,学生往往感到学而无用,通过一个具体的案例,将理论知识与实际问题结合起来,教学的着眼点不是学会定理的推导、公式的证明,而是灵活运用这些数学知识去解决实际问题。
(三)结论的不确定性
对学生而言,案例的结论是未知的,不同的假设,会产生不同的结论。教学上引导学生作出多种合理的假设,寻求多种解决问题的方法,提升学生认知加工的层次和水平。
(四)思维的灵活性
案例教学摆脱原有的思维惯性,根据不同的信息,学生独立自主地去思考、探索,及时修订自己对问题的认识,在教师的指导下,学生建立一套分析、解决问题的多角度思维方式。
(五)学生的主体性
在案例教学过程中,教师从台前走向幕后,鼓励学生独立思考,参与案例的分析、讨论、交流,获取信息,提炼观点,探寻问题的解决方法,得出问题的结论。学生通过讨论和教师的指导,既学到了知识,又锻炼了才干,学习的主动性、积极性和创造性得到有效的发挥。
(六)过程的动态性
在教学过程中存在着教师个体与学生个体、教师个体与学生群体、学生个体与学生个体、学生群体与学生群体的交往,即师生互动,生生互动。
三、案例教学在创新能力培养中应注意的三个问题
从文献对案例教学的定义中可以看出,它包含三要素:案例、教师和学生[2]。案例教学只有从这三大要素入手,这样才能理解案例教学的内涵,达到培养学生的创新能力的目的。
(一)选择合适的教学案例
案例是案例教学的关键内容,它是否合适直接影响教学效果,选择合适的数学建模案例是一项重要而有难度的工作,需要从课堂教学目标,可行性、实用性等多个维度来衡量案例。
1.课堂教学目标。
是指教学活动预期达到的结果,是教育目的、教学目标和课程目标的具体化,也是教师完成教学任务所要达到的要求和标准。案例教学教学目标不仅要提升学生的数学知识、数学技能和创新能力,而且要培养学生正确的人生观、价值观。
2.可行性。
是指案例符合高职学生的认知水平,既不能过高,也不能过低,过高导致学生失去对案例分析、思考、讨论的兴趣,过低达不到培养学生创新能力的效果。同时要契合学生的专业,为专业服务。此外,还要考虑课堂教学时间因素的可行性,一个案例教学用时以45分钟或者90分钟为宜。
3.实用性。
是指案例要符合实际需求,满足社会需要,解决实际问题。这样学生能充分认识到数学建模理论和方法在实际问题解决中的作用,提高学生数学建模的兴趣,培养他们的解决实际问题的能力。
例如,利用一元函数的最大值和最小值构建实际问题的优化模型,下面3个案例,如何选择?
案例1:客房定价优化问题
某刚建的宾馆有150个客房,经过一段时间的试运营,经理得到了一些数据:每间客房定价为160元时,住房率为55%;每间客房定价为140元时,住房率为65%;每间客房定价为120元时,住房率为75%;每间客房定价为100元时,住房率为85%。欲使宾馆每天收入最高,每间客房应如何定价?
案例2:不允许缺货的存贮问题
配件厂为装配线生产若干种部件,轮换生产不同的部件时因更换设备要付生产准备费(与生产数量无关),同一部件的产量大于需求时因积压资金,占用仓库要付贮存费。设已知某一部件的日需求量100件,生产准备费5000元,贮存费每日每件1元。如果生产能力远大于需求,并且不允许出现缺货,试安排该产品的的生产计划,即多少天生产一次(称为生产周期),每次产量多少,可使总费用最小。
案例3:易拉罐的优化设计
为什么市场上销售的饮料瓶(易拉罐)做成差不多的样子?
三个案例均满足实用性。案例1给的数据详实,供分析、假设、讨论的信息不多,达不到培养学生创新能力的教学目标,不适宜作为教学建模案例。案例2给了一些数据,是用来验证模型,该案例构建为经济学中著名的经济订货批量模型(EOQ模型)。案例3是一种现象,没有具体的数据,需要学生做课前调查、测量、分析数据,是一个难度较大的案例。案例2适合经济管理类专业,授课时间为45分钟;案例3适合工科类专业,授课时间为90分钟。
(二)教师的主导作用
教师不再是主宰课堂的权威,教师在此时所起的作用类似于“导演”,是学生的学习信心之源,对学生的分析、讨论不作过多干预、不作过多评论,充分尊重学生的观点、想法,成为学生友好的、值得信赖的学习伙伴。但教师绝不是袖手旁观,除选择合适的案例外,主导作用应体现在以下几个方面:
1.设计案例情景。
教师对案例有关信息进行透彻分析,根据学生的数学基础和认知能力,设计符合高职学生现状和兴趣的案例情景,问题由浅入深,由具体到抽象,层层递进,便于学生尽快将理论与实践快速融合。
2.明确教学重点。
案例教学的时间有限,应该根据教学目标对案例中重要的问题作优先安排。在教学重点的准备过程中,须多考虑教学目标与高职学生特点等因素,教师切忌凭主观想象确定教学重点,造成学生需要的而没有列为重点,学生已经掌握的或掌握不了的却被作为重点。
3.做好授课计划。
根据教学目标和教学重点,教师按照课前准备、课堂实施和课后评估三步制订教学实施计划。
课前准备:包含两个方面,一是明确提出学生课前准备的要求,学生按照教师的要求对案例进行阅读、思考和个人分析,带着问题和目的进入案例教学课堂实施环节;二是深入分析案例内容,根据教学目标写出细致而全面的分析提纲,便于有效地调控整个教学过程,对学生进行及时引导与评价。
课堂实施:教师希望课堂上发生什么?如何让其发生?讨论按什么方式、顺序进行?每一部分大约讨论多长时间?是对讨论进行引导,还是任其自由发挥?是否需要将学生分组?如何分组?小组成员间应该如何协调?同时还要组织引导、激励控制,对学生的观点加以归纳和总结,促使学生知识和能力的升华。
课后评估:教师结合学生对案例的分析和交流情况进行总结和评估,教师在总结时应注意避免空谈。可从以下几个方面入手,选择的案例是否符合课程教学标准?是否突出教学的重点和难点?案例教学各阶段组织是否恰当?是否符合教学设计要求?是否适合高职学生?是否提高了学生分析问题和解决问题的能力?指出学生的特点、优势和不足,为其进一步分析案例积累经验、指明方向。
(三)学生的主体作用
在案例教学中,教师与学生之间是一种“师生互补,教学相辅”的关系,学生是教育资源,学生发展的基础和动力从根本上说是他们的潜能,案例学习过程成为学生激发潜能的过程,教师将分析案例的“主权”交给学生,让学生运用所掌握的各种知识,甚至是课外的知识去分析这些问题,讨论解决方法。
课前准备:学生阅读案例,对已掌握的资料进行分析,归纳相似性、寻找差异性,对数据进行处理,发现数据的内在联系和规律。
课堂实施:积极参与小组讨论和课堂讨论,通过思想碰撞,引发并记录新发现和新认识。
课后评估:从案例选择是否适合课程目标、可行性、实用性等方面及时反馈;从课堂讨论的组织与引导,激励机制、课堂控制及案例的总结等方面对教师课堂教学进行评价,并提出改正意见。[3]
四、案例教学在创新能力培养中的常用方法
在具体的案例教学过程中,运用不同的教学方法,可以提高学生的学习兴趣,激发学生的创新潜能。大致采用以下五种教学方法:
案例讲授法。教师讲解案例,说明案例教学目标,讲解案例需要的数学理论和数学方法,理顺学生案例思路,做出案例总结和评估,形成完整的课程内容体系。
案例讨论法。案例讨论是案例教学的主要形式,它是在教师的指导下,学生对案例进行充分的讨论,彼此发表自己独立见解的一种方法。它有利于调动学生学习的积极性和主动性,培养他们分析和解决问题的能力,也有利于训练学生的口头表达能力。
案例辩论法。数学建模案例有多种解决问题的方法,方法不同,结论也不一样。引导采用不同方法的学生分组辩论。首先各方阐述自己的观点,然后指出他方的不足,形成激烈的思想碰撞,达到理越辩越明的目的。
案例练习法。教师选定一个案例,作为学生课后、单元、数学建模培训练习,学生三人一组,合作完成一篇论文。它有利于检验案例教学效果和培养学生独立性、自主性。[9]
案例评价法。运用发展性、形成性等多种评价方式对案例进行课后评估的一种方法。它有利于选择合适的案例和完善案例教学过程,提高课堂教学效果。
以易拉罐的优化设计模型为例[4],说明案例教学设计过程。
环节一:选择合适的案例
1.教学目标:调查市场上易拉罐的形状,分析其原因;构建节省易拉罐成本模型。
2.学情分析:学生已掌握求一元函数单调性、极值、最值的原理和方法,会求简单实际问题的最大值和最小值。
3.可行性:构建易拉罐的设计形状,以达到节省材料的目的,属于一元函数的最小值问题,符合高职工科学生的数学认知水平和能力结构。
4.实用性:外面销售的易拉罐,其形状、尺寸大致一样,这并非偶然,应该是节省成本的最优设计,单个这样的易拉罐设计优势是有限的,大量的(几十亿)这样的设计就可观了。
5.重点与难点:重点是建立模型;难点是模型的求解和分析。
环节二:课堂教学实施计划
1.课前准备
学生分组:在过去案例分析过程中,根据大致掌握的不同学生的知识结构和性格特点,优化学生分组,组成最佳组合。
布置案例:(1)以小组为单位收集3-5个不同的易拉罐,观察其形状;(2)测量易拉罐数据,找出数据之间的联系;(3)初步分析,简要回答易拉罐为什么做成这种形状?
2.课堂实施
(1)模型准备(10分钟)
学生分小组汇报,从学生对该问题的理解,教师综合得出易拉罐形状、尺寸大致相同,肯定是基于某种节省成本的优化设计,形成问题:将易拉罐看作一个圆柱体,其容积一定,当圆柱体底面直径和高的比例如何设计,制作易拉罐所用的材料最省?
(2)模型分析(20分钟)
根据学生小组的分析情况,教师将学生出现的较大错误及时予以纠正,学生没有掌握的必要知识点进行启发性讲解,引导学生从易拉罐形状(圆柱体)、材质、厚度等方面比较分析。
材质:易拉罐看成同一材质。
厚度:不考虑易拉罐厚度差异(底盖、顶盖与侧面厚度相同);考虑易拉罐厚度差异,底盖、顶盖厚度相同,比侧面厚一些,设侧面厚度为b,底盖、顶盖厚度为ab,a>1)。
(3)模型求解(45分钟)
重点讲授模型的建立过程,分散、突破难点。下面用r和h分别表示易拉罐的底盖半径和高度,S和V分别表示易拉罐的表面积和容积,SV表示易拉罐所用材料的体积。
定理:如果一个实际问题可以预先断定必存在最值,并且函数在定义域内只有唯一极值点,则无需判别即可断定,该极值点的函数值必为所求最值。
模型一:不考虑材料厚度的简化模型
由题意得到目标函数和约束条件为
将约束条件代入目标函数得:
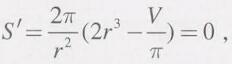
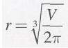
求其驻点,得
求解得到
结论:易拉罐高度等于底圆的直径时,所用材料最省。
模型二:考虑材料厚度的模型
目标函数和约束条件如下:
约束条件.
将约束条件代入目标函数得:
求其驻点,得
结论:易拉罐高度等于底圆直径的a倍,所用材料最省。
(4)模型验证和推广(15分钟)
学生通过验证模型,分析与实际情况是否吻合,运用讨论法,找出问题的关键在哪?教师总结如下:
根据模型一的结论,很少有这种形状的易拉罐,与实际不符,问题出在哪儿呢?模型二的结论,通过同学们测量易拉罐底盖、顶盖的厚度通常比侧面的厚度多2倍以上,比如取a=3,即易拉罐的高度是底圆直径的3倍,大多数易拉罐就是按这个比例设计的。
仔细观察易拉罐,其顶盖是一个小圆台,这样设计更省材料,也更美观。若易拉罐顶盖是一个小圆台,罐身是一个圆柱体,在容积一定的条件下,如何设计才能达到用料最省?这是一个复杂的多元函数的极值问题,是一个不适合高职学生的案例。
如果其他形状的易拉罐,比如长方体型、球体型等,充分考虑其实用性、安全性和美观等因素,如何设计才能用料最省,也是一个值得探讨的问题。
3.课后评估
教师:点评学生的课前、课堂情况,重点是针对课前测量易拉罐的侧面、底盖、顶盖的厚度数据,底圆直径与高的数据进行评价;根据学生课堂的反应,评估案例、教学方法是否适应学生,是否有助于培养学生的创新能力。
学生:评价案例、教学方法是否适合自己,案例难易如何?这个案例对自己的创新思维有哪些启发?哪些教学方法有待改正?
五、案例教学在创新能力培养中的成效
通过在数学建模课程采用案例教学,激发了学生的创新意识,激励了学生的创新精神,培养了学生的创新能力,根植了学生的创新基因。2010至2019年,笔者所在学校参加全国大学生数学建模竞赛,获国家一等奖5项、二等奖11项;获省一等奖24项、二等奖36项、三等奖48项,获奖数量位居广东省近百所同类院校前列。
六、结束语
诚然,培养高职学生的创新能力不是一种新的教育理念,但确实是一个新的课题,更是对高职教育体制和高职数学建模微观教育一场前所未有的挑战。采用案例教学培养学生的创新能力,还有许多值得探讨的内容,笔者希望与同行一道,无怨无悔为之努力、为之奋斗。
参考文献:
[1]郑金洲.能力培养中的若干问题[J].中国教育学刊,2000(1):13-17.
[2]郭德红,纪向荣.案例教学的要素和方法[J].衡水学院学报,2007(2):107-110.
[3]段振华.高职数学建模案例教学研究[M].天津:天津科学技术出版社,2018.
[4]段振华,周小玲,吴蔚.数学建模及典型的案例分析[M].成都:电子科技大学出版社,2018.
[5]胡素敏.案例教学在金融数学课程中的应用[J].金融理论与教学,2019(4):104-106.
[6]郑金洲.案例教学:教师专业发展的新途径[J].教育理论与实践,2002(7):36-41.
[7]刘海菊.案例教学在创新能力培养中的实践[J].哈尔滨金融学院学报,2012(1):93-94.
[8]杨正.柔性教学思想在网络课程建设中的应用研究[D].上海:华东师范大学,2008.
[9]王刚.高等职业技术学院数学建模案例教学研究[D].昆明:云南师范大学,2006.
段振华.基于创新能力培养的高职数学建模课程案例教学研究[J].高教学刊,2020(13):96-100.
基金:广州市高等学校第七批教育教学改革项目“高职数学案例教学理论及实践研究”(穗教高教〔2015〕29号).
分享:
玩家凭借一张地图,利用初始资金购买一定数量的水和食物(包括食品和其他日常用品),从起点出发,在沙漠中行走。途中会遇到不同的天气,也可在矿山、村庄补充资金或资源,目标是在规定时间内到达终点,并保留尽可能多的资金。游戏开始的时间为第0天,玩家位于起点。玩家必须在截止日期或之前到达终点,到达终点后该玩家的戏结束。
2020-11-27《数学建模》课程的教学内容知识面涵盖广且学科交叉广泛;同时《数学建模》的很多知识点以《高等代数》《数学分析》《概率论与数理统计》《数学实验》等学科知识为基础,因此很多知识点加大了高职高专学生透彻理解《数学建模》内容的难度与深度,继而严重影响了学生对于《数学建模》课程的学习兴趣。
2020-07-10博弈论已经成为经济学的标准分析工具之一,被认为是20世纪经济学最伟大的成果之一,其在生物学、国际关系、计算机科学、政治学、军事战略等很多学科都有广泛的应用。博弈论与社会、经济联系密切,同样也可以运用博弈论构建数学模型,解析社会发展,培养新型人才。本文用约翰•纳什非合作博弈理论的思想对人才培养策略进行探析。
2020-07-10数学建模在合理假设的基础上将实际问题简单化、抽象化,用数学知识解决问题并接受实践的检验。在这一过程中,问题的求解需要借助计算机计算才能完成。MATLAB作为应用最广泛的科学计算软件,具有强大的数据处理、数据分析及图像可视化等功能。在每年的全国大学生数学建模竞赛中,MATLAB是普遍应用的软件。
2020-07-10随着中国经济的发展,社会越来越需要应用技能型人才,而高职教育的重要目的就是培养应用技能型人才。数学建模竞赛就是检验学生应用数学能力的一项重要赛事。数模竞赛于20世纪80年代起源于美国,90年代我国开始举办,参与竞赛的院校越来越多,影响力也越来越大。
2020-07-10诚然,培养高职学生的创新能力不是一种新的教育理念,但确实是一个新的课题,更是对高职教育体制和高职数学建模微观教育一场前所未有的挑战。采用案例教学培养学生的创新能力,还有许多值得探讨的内容,笔者希望与同行一道,无怨无悔为之努力、为之奋斗。
2020-07-10笔者带领所在团队,通过10年的探索实践,在理论成果方面,出版了专著《高职数学建模案例教学研究》(天津科学技术出版社);出版了教材《应用数学》(上、下,广东省高等教育出版社,推荐为国家职业教育“十三五”规划教材);出版了教材《数学建模及典型的案例分析》(电子工业大学出版社,国家“十二五”规划教材)。
2020-07-10目前,关于以学生为中心的数学建模金课建设的研究尚少。笔者结合从事数学建模课程教学、竞赛指导十几年的经验,基于数学建模课程特色,从数学建模素养、探究式教学模式、成果为本的评价方式三方面,探讨以学生为中心的数学建模金课的课程设计原则,从分层级教学组织、线上教学混合教学模式、实践训练、多层次考核四方面探讨金课建设的实施方案。
2020-07-10老师通过数学建模竞赛和数学建模课程教学等途径培养学生的数学思想,使学生在分析问题和解决问题的过程中养成独立思考的能力。数学建模是一门理论性与实践性都很强的课程,老师在教学活动中要优化知识结构,注重引导学生思考,重视学生在学习过程中直觉思维与发散思维的形成,培养学生的创新能力与自我评价能力,从而提高数学建模教学的质量。
2020-07-10《数学模型》课程能够将背景分析、数学建模、求解方法、软件编程、回归检验和论文撰写等有机地结合起来,是大学生尝试独立进行知识应用、实验实践和团队合作的良好环境,是大学生形成主导地位的锻炼机会。在《数学模型》的教学过程中要引导大学生进行实验实践学习、大数据的应用和大学生创新创业项目申报等。
2020-07-10人气:3748
人气:3694
人气:3643
人气:3576
人气:3353
我要评论
期刊名称:数学杂志
期刊人气:1669
主管单位:中华人民共合国教育部
主办单位:武汉大学,湖北省数学学会,武汉数学学会
出版地方:湖北
专业分类:科学
国际刊号:0255-7797
国内刊号:42-1163/O1
邮发代号:38-71
创刊时间:1981年
发行周期:双月刊
期刊开本:16开
见刊时间:7-9个月
影响因子:0.553
影响因子:0.322
影响因子:0.352
影响因子:0.000
影响因子:0.000
您的论文已提交,我们会尽快联系您,请耐心等待!
你的密码已发送到您的邮箱,请查看!